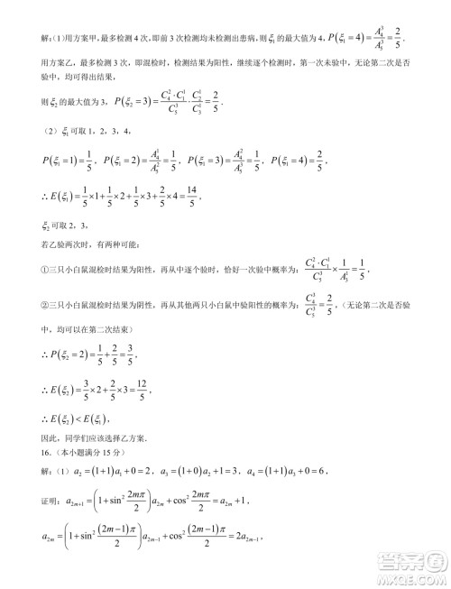
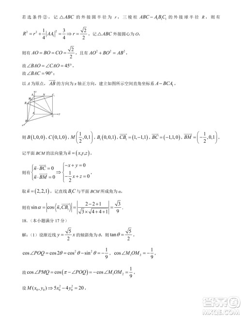
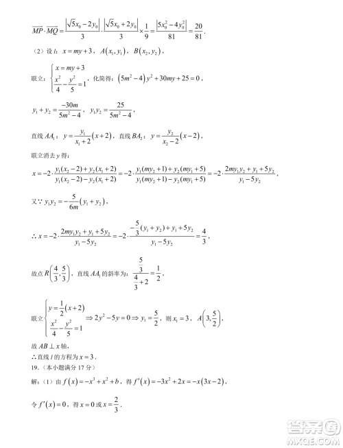
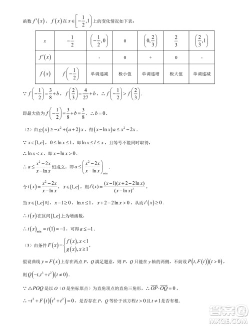
小编这次收集整理的是2024届重庆八中高三下学期5月月考的数学试卷答案,这个也适用于川渝地区训练,高三学子练习还是非常不错的,感兴趣的可以来试试!

答案如下,仅供参考!
















2024届石家庄高三三模数学试卷答案
2024-05-13 15:55:26
小编这次收集整理的是2024届石家庄高三三模的数学试卷答案,本试卷满分150分,考试时间120分钟,这个是石家庄的高三联考,也是模拟检测,出题难度和高考接近,适合练习,想要训练的可以来
2024届保定高三下学期第二次模拟考试数学试题答案
2024-05-13 10:39:51
小编这次收集整理的是2024届保定高三下学期第二次模拟考试的数学试题答案,本试卷主要考试内容为高考全部内容,这个试卷出题质量也是不错的,想要练习的可以来做做看哦!2024届保定
南平市2024届高三第三次质量检测数学试题答案
2024-05-13 10:02:02
小编这次收集整理的是南平市2024届高三第三次质量检测的数学试题答案,考试时间120分钟,满分150分,这个是南平市的高三三模考试,想要练习一下的可以来看看哦!南平市2024届高三第三
2024届温州三模数学试题答案
2024-05-11 16:20:14
小编这次收集整理的是温州市普通高中2024届高三第三次适应性考试的数学答案,这个就是温州高三三模考试,想要练习的可以来做做看哦,检查一下自己做的对不对吧!2024届温州三模数学