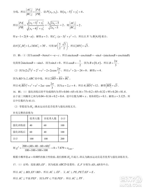
小编这次收集整理的是2024届保定高三下学期第二次模拟考试的数学试题答案,本试卷主要考试内容为高考全部内容,这个试卷出题质量也是不错的,想要练习的可以来做做看哦!

答案如下,仅供参考!











南平市2024届高三第三次质量检测数学试题答案
2024-05-13 10:02:02
小编这次收集整理的是南平市2024届高三第三次质量检测的数学试题答案,考试时间120分钟,满分150分,这个是南平市的高三三模考试,想要练习一下的可以来看看哦!南平市2024届高三第三
2024届温州三模数学试题答案
2024-05-11 16:20:14
小编这次收集整理的是温州市普通高中2024届高三第三次适应性考试的数学答案,这个就是温州高三三模考试,想要练习的可以来做做看哦,检查一下自己做的对不对吧!2024届温州三模数学
2024届泰安三模数学试题答案
2024-05-11 15:03:00
小编这次收集整理的是2024届泰安三模的数学试题答案,也就是2024年普通高等学校招生全国统一考试模拟试题数学试卷,是五月初的考试,想要练习的可以来做做看哦!2024届泰安三模数学
鄂东南省级示范高中教育教学改革联盟学校2024年五月模拟考高三数学试卷答案
2024-05-11 14:58:58
小编这次收集整理的是鄂东南省级示范高中教育教学改革联盟学校2024年五月模拟考高三的数学试卷答案,命题学校黄冈中学,考试时间2024年5月9日下午三点到五点,感兴趣的可以来做做