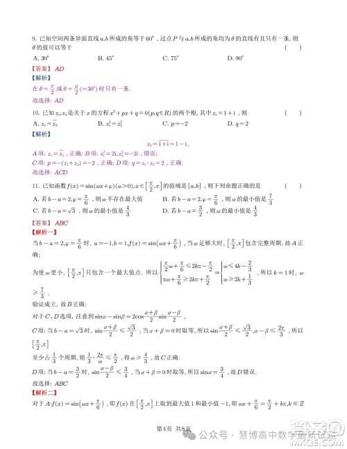
小编这次收集整理的是温州市普通高中2024届高三第三次适应性考试的数学答案,这个就是温州高三三模考试,想要练习的可以来做做看哦,检查一下自己做的对不对吧!

答案如下,仅供参考!








2024届泰安三模数学试题答案
2024-05-11 15:03:00
小编这次收集整理的是2024届泰安三模的数学试题答案,也就是2024年普通高等学校招生全国统一考试模拟试题数学试卷,是五月初的考试,想要练习的可以来做做看哦!2024届泰安三模数学
鄂东南省级示范高中教育教学改革联盟学校2024年五月模拟考高三数学试卷答案
2024-05-11 14:58:58
小编这次收集整理的是鄂东南省级示范高中教育教学改革联盟学校2024年五月模拟考高三的数学试卷答案,命题学校黄冈中学,考试时间2024年5月9日下午三点到五点,感兴趣的可以来做做
2024届山东中学联盟高三5月考前冲刺大联考数学试题答案
2024-05-11 14:16:38
小编这次收集整理的是2024届山东中学联盟高三5月考前冲刺大联考的数学试题答案,这个适用于山东地区的高中学子练习,也是五月份的最新考试,想要练习的可以来做做看哦!做完了之后
2024届湖北圆创高中名校联盟五月联考数学试卷答案
2024-05-11 11:51:29
小编这次收集整理的是圆创教育教学研究中心命题的湖北省高中名校联盟2024届高三第四次联合测评的数学试卷习题和参考答案,这个是5月10日下午三点到五点考试的联考数学,想要练