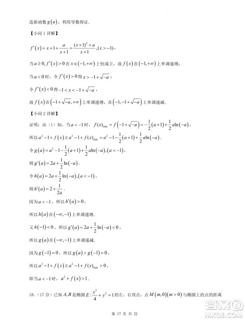
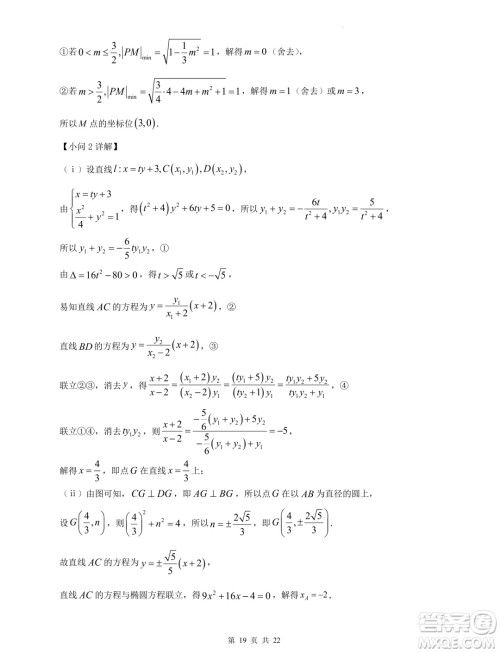
小编这次收集整理的是2024届河北省重点高中高三下学期5月模拟考试的数学试题一答案,考试时间120分钟,试卷满分150分,这个适用于河北地区的学子练习,想要做做看自己当前还有哪些知识点没有把握的可以来看看!

答案如下,仅供参考!























2024年T8联盟普通高等学校招生全国统一考试压轴卷数学试题二答案
2024-05-06 15:20:22
小编这次收集整理的是2024年T8联盟普通高等学校招生全国统一考试压轴卷的数学试题二答案,本试卷满分150分,考试用时120分钟,这个系列的试卷还是很不错的,感兴趣的可以来做做看哦
2024届汕头高三二模数学试题答案
2024-04-30 11:06:56
小编这次收集整理的是2024届汕头高三二模的数学试题答案,汕头市普通高考第二次模拟考试,也是四月底最后的考试,想要练习一下的可以来做做看,多做练习对于把握自己的复习进度还是
湖南常德2024届高三高考模拟数学试题答案
2024-04-29 17:48:21
小编这次收集整理的是湖南常德2024届高三高考模拟的数学试题答案,本次试卷考试是常德地区的联考,想要练习一下的可以来做做看,对比高考难度的话还是有区分的,当前复习适合摸底排
2024届九师联盟高三4月质检数学试题答案
2024-04-29 17:21:20
小编这次收集整理的是2024届九师联盟高三4月质检的数学试题答案,本试卷是九师联盟的联考试卷,想要练习的可以来做做看,高三复习的时间不多了,要抓紧机会好好复习哦!2024届九师联