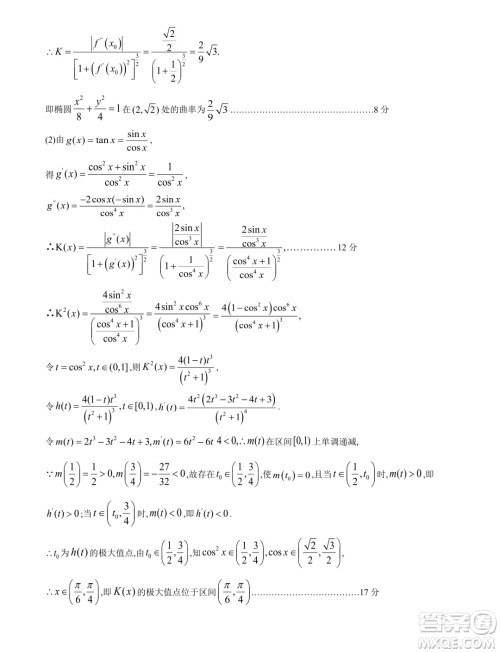
小编这次收集整理的是2024年T8联盟普通高等学校招生全国统一考试压轴卷的数学试题二答案,本试卷满分150分,考试用时120分钟,这个系列的试卷还是很不错的,感兴趣的可以来做做看哦!

答案如下,仅供参考!














2024届汕头高三二模数学试题答案
2024-04-30 11:06:56
小编这次收集整理的是2024届汕头高三二模的数学试题答案,汕头市普通高考第二次模拟考试,也是四月底最后的考试,想要练习一下的可以来做做看,多做练习对于把握自己的复习进度还是
湖南常德2024届高三高考模拟数学试题答案
2024-04-29 17:48:21
小编这次收集整理的是湖南常德2024届高三高考模拟的数学试题答案,本次试卷考试是常德地区的联考,想要练习一下的可以来做做看,对比高考难度的话还是有区分的,当前复习适合摸底排
2024届九师联盟高三4月质检数学试题答案
2024-04-29 17:21:20
小编这次收集整理的是2024届九师联盟高三4月质检的数学试题答案,本试卷是九师联盟的联考试卷,想要练习的可以来做做看,高三复习的时间不多了,要抓紧机会好好复习哦!2024届九师联
2024届贵州高三4月新高考大数据赋分诊断性联合考试数学试题答案
2024-04-24 17:04:38
小编这次收集整理的是2024届贵州高三4月新高考大数据赋分诊断性联合考试的数学试题答案,这次的考试也是贵州省的高三二模考试了,大数据分析,出题方向也是高考方向,想要练习一下