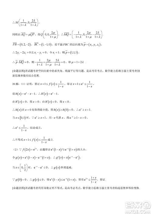
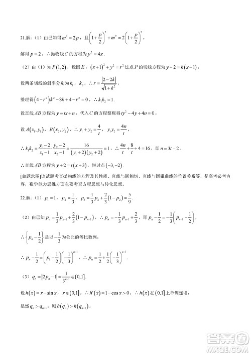
小编整理了2024届河北省部分重点高中高三上学期12月普通高考模拟试题数学参考答案,感兴趣的可以对照看看。对于高三生来说,考试是需要把握住的机会,考完务必查漏补缺,这样才能有效提分。

答案如下:













衡中同卷2023-2024学年高三上学期五调考试新高考卷数学参考答案
2023-12-06 15:36:30
在高三年级,数学科目的备考要多花时间,每次考试结束后务必做好错题整理,争取把丢分的问题解决好。小编分享衡中同卷2023-2024学年高三上学期五调考试新高考卷数学参考答案,赶紧
广东汕头2024届高三上学期期中数学试题答案
2023-12-06 11:20:02
小编这次收集整理的是广东汕头2024届高三上学期期中的数学试题答案,这个是汕头市2023-20214学年度普通高中毕业班期中调研测试的数学试卷习题,想要做一下的可以来看看哦,多做训
金丽衢十二校2024届高三上学期12月第一次联考生物参考答案
2023-12-06 10:45:04
到了高三年级,生物科目的备考要多花心思,考试结束后记得查漏补缺,争取把知识点掌握清楚。今天分享金丽衢十二校2024届高三上学期12月第一次联考生物参考答案,内容新颖,赶紧对照看
金丽衢十二校2024届高三上学期12月第一次联考化学参考答案
2023-12-06 10:28:26
小编整理了金丽衢十二校2024届高三上学期12月第一次联考化学参考答案,内容丰富,感兴趣的可以对照了解。在高三上学期,学生们会经历各种考试,每次考试之后要有所收获,这样才能有效