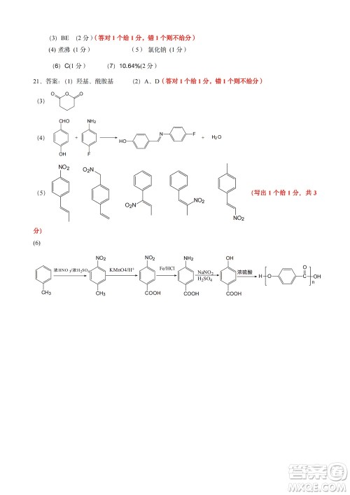
小编整理了金丽衢十二校2024届高三上学期12月第一次联考化学参考答案,内容丰富,感兴趣的可以对照了解。在高三上学期,学生们会经历各种考试,每次考试之后要有所收获,这样才能有效提分。

答案如下:










金丽衢十二校2024届高三上学期12月第一次联考英语参考答案
2023-12-06 10:15:05
对于高三生来说,英语科目的备考内容不少,每次考试结束之后记得反思,争取把丢分的问题解决好。小编分享金丽衢十二校2024届高三上学期12月第一次联考英语参考答案,感兴趣的可以对
金丽衢十二校2024届高三上学期12月第一次联考历史参考答案
2023-12-06 09:51:49
到了高三年级,历史科目的备考要重视起来,除了课堂上把握住机会,课下也得坚持做练习,千万别偷懒。小编分享金丽衢十二校2024届高三上学期12月第一次联考历史参考答案,赶紧看过来,希
汉中市高中联盟学校2024届高三上学期联考地理参考答案
2023-12-06 09:43:11
在高三年级,地理科目的备考要多花心思,平时的考试机会要把握住,课下也得坚持坐练习。小编分享汉中市高中联盟学校2024届高三上学期联考地理参考答案,内容丰富,感兴趣的可以对照看
牡丹江二中2023-2024学年高三上学期第四次阶段性考试化学参考答案
2023-12-05 17:10:03
在高三年级,化学科目的备考要多花时间,考试结束之后做好错题整理,争取把丢分的问题解决好。小编分享牡丹江二中2023-2024学年高三上学期第四次阶段性考试化学参考答案,感兴趣的