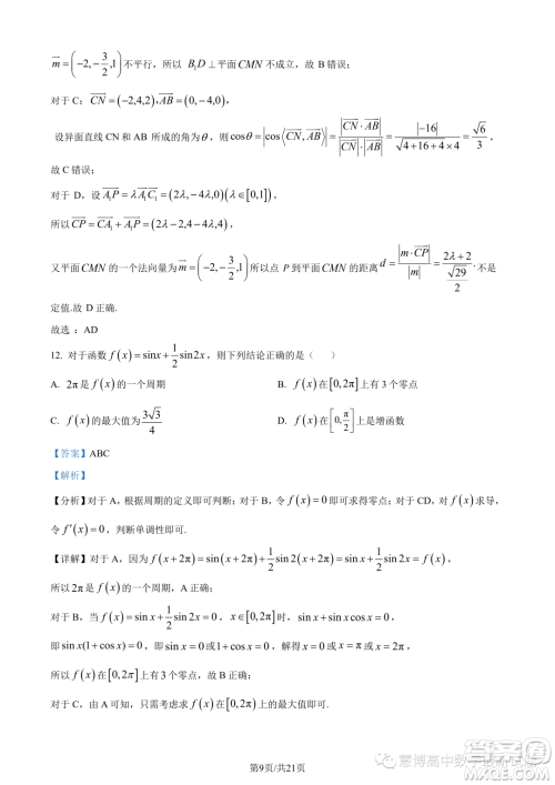
小编这次收集整理的是广东汕头2024届高三上学期期中的数学试题答案,这个是汕头市2023-20214学年度普通高中毕业班期中调研测试的数学试卷习题,想要做一下的可以来看看哦,多做训练有助于提升自己的学习理解能力!

答案如下,仅供参考!





















金丽衢十二校2024届高三上学期12月第一次联考生物参考答案
2023-12-06 10:45:04
到了高三年级,生物科目的备考要多花心思,考试结束后记得查漏补缺,争取把知识点掌握清楚。今天分享金丽衢十二校2024届高三上学期12月第一次联考生物参考答案,内容新颖,赶紧对照看
金丽衢十二校2024届高三上学期12月第一次联考化学参考答案
2023-12-06 10:28:26
小编整理了金丽衢十二校2024届高三上学期12月第一次联考化学参考答案,内容丰富,感兴趣的可以对照了解。在高三上学期,学生们会经历各种考试,每次考试之后要有所收获,这样才能有效
金丽衢十二校2024届高三上学期12月第一次联考英语参考答案
2023-12-06 10:15:05
对于高三生来说,英语科目的备考内容不少,每次考试结束之后记得反思,争取把丢分的问题解决好。小编分享金丽衢十二校2024届高三上学期12月第一次联考英语参考答案,感兴趣的可以对
金丽衢十二校2024届高三上学期12月第一次联考历史参考答案
2023-12-06 09:51:49
到了高三年级,历史科目的备考要重视起来,除了课堂上把握住机会,课下也得坚持做练习,千万别偷懒。小编分享金丽衢十二校2024届高三上学期12月第一次联考历史参考答案,赶紧看过来,希