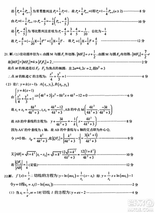
在高三年级,数学科目的备考要求很高,考试机会务必得把握住,考完记得反思,争取有效提分。小编分享2024届高三上学期12月湖北十一校第一次联考数学参考答案,感兴趣的可以看过来。注意,答案仅供参考。

答案如下:










辽宁省葫芦岛市协作校2023-2024学年高三上学期第二次考试数学参考答案
2023-12-07 10:46:41
小编分享辽宁省葫芦岛市协作校2023-2024学年高三上学期第二次考试数学参考答案,感兴趣的可以对照看看。在高三上学期,联考是最为常见的,大家得抓住机会,考完务必有所得,这样才能
浙江嘉兴市2024届高三上学期12月一模考试地理参考答案
2023-12-07 10:11:34
在高三上学期,地理科目的备考要求不少,考试是检验成果的关键,大家务必得把握住机会。小编分享浙江嘉兴市2024届高三上学期12月一模考试地理参考答案,内容丰富,感兴趣的可以对照看
浙江嘉兴市2024届高三上学期12月一模考试政治参考答案
2023-12-07 09:54:33
小编分享浙江嘉兴市2024届高三上学期12月一模考试政治参考答案,内容丰富,感兴趣的可以看过来。在高三上学期,政治科目想拿到好成绩就得勤做练习,考试结束之后务必查漏补缺,千万别
浙江嘉兴市2024届高三上学期12月一模考试物理参考答案
2023-12-07 09:26:13
在高三上学期,物理科目的备考难度很大,每次考试结束之后要积极整理错题,争取把丢分的问题解决好。小编分享浙江嘉兴市2024届高三上学期12月一模考试物理参考答案,感兴趣的可以对