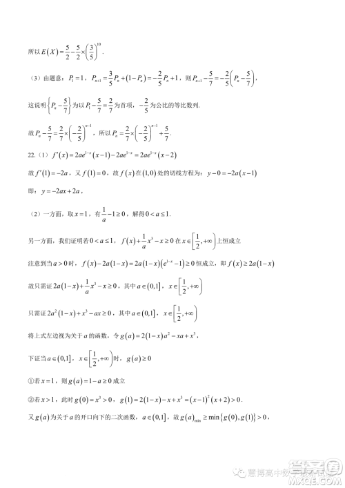
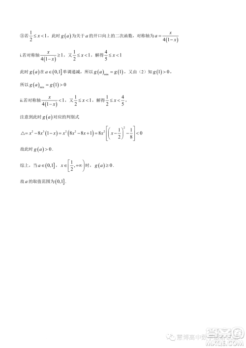
小编这次收集整理的是重庆西南大学附属中学校2024届高三上学期期中考试的数学试题答案,满分150分,考试时间120分钟,这个系列的适用于川渝地区学子练习,是重庆的高三考试期中试卷整理,快来做做看吧!

答案如下,仅供参考!











日照2021级高三上学期11月期中校际联合考试地理参考答案
2023-11-28 10:00:55
我们知道,高三年级的考试很多,大家得珍惜机会,考完务必做好反思工作,争取把知识点掌握清楚。今天分享日照2021级高三上学期11月期中校际联合考试地理参考答案,感兴趣的可以对照了
2023年11月湖南岳汨联考高三期中考试生物参考答案
2023-11-28 09:29:15
小编整理了2023年11月湖南岳汨联考高三期中考试生物参考答案,内容丰富,感兴趣的可以对照了解。对于高三生来说,生物科目的备考要求不少,大家要把握住考试机会,争取拿到好成绩。注
英才大联考长郡中学2024届高三上学期月考五数学试题答案
2023-11-28 09:16:06
小编这次收集整理的是英才大联考长郡中学2024届高三上学期月考五的数学试题答案,这个系列的试卷适用于湖南地区,想要练习一下的可以来看看,多做练习对于提升和巩固知识点还是非
日照2021级高三上学期11月期中校际联合考试生物参考答案
2023-11-27 17:59:11
进入高三年级,生物科目的备考压力不小,大家得把握住考试机会,争取把知识点掌握好。小编分享日照2021级高三上学期11月期中校际联合考试生物参考答案,感兴趣的可以对照了解。注意