小编这次收集整理的是湖南长沙长郡湘府中学2024届高三暑假作业检测的数学试题答案,这个系列的还有其他学科的,后续也会陆续收集整理,感兴趣的可以来看看哦!

答案如下,仅供参考!














湛江第一中学2024届高三级开学考试数学试卷答案
2023-08-09 10:27:14
小编这次收集整理的是湛江第一中学2024届高三级开学考试的数学试卷答案,全卷满分150分,考试时间120分钟,感兴趣的可以来看看,模拟练习一下,现在高三开学考试的试卷模拟还是蛮多的
2024届广东潮州市潮安区凤塘中学高三上学期第四次统测数学试题答案
2023-08-09 09:54:35
小编这次收集整理的是2024届广东潮州市潮安区凤塘中学高三上学期第四次统测的数学试题答案,这个系列的试卷还是很不错的,也是高三入学的一个测评考试,感兴趣的可以来看看哦!2024
2024届东北育才学校科学高中部适应性测试一高三数学试题答案
2023-08-09 09:32:08
小编这次收集整理的是2024届东北育才学校科学高中部适应性测试一的高三数学试题答案,本试卷主要考试内容为高考全部内容,这个系列的还是非常不错的,感兴趣的可以来看看哦!2024届
广东七校联合体2024届8月高三第一次联考数学答案
2023-08-09 09:15:34
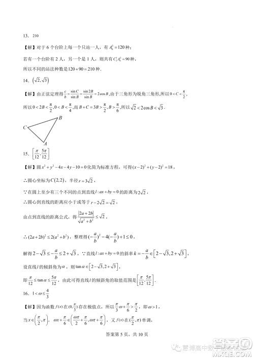
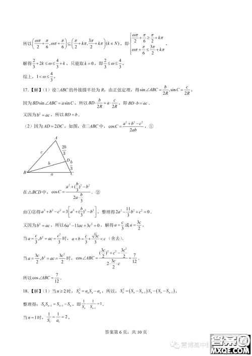
小编这次收集整理的是广东七校联合体2024届8月高三第一次联考的数学答案,命题学校潮阳一中,其他学科的也有收集整理,站内直接搜七校联合体就可以搜到了!广东七校联合体2024届8月