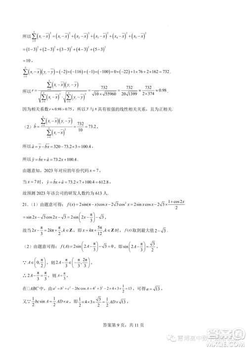
小编这次收集整理的是2024届广东潮州市潮安区凤塘中学高三上学期第四次统测的数学试题答案,这个系列的试卷还是很不错的,也是高三入学的一个测评考试,感兴趣的可以来看看哦!

答案如下,仅供参考!













2024届东北育才学校科学高中部适应性测试一高三数学试题答案
2023-08-09 09:32:08
小编这次收集整理的是2024届东北育才学校科学高中部适应性测试一的高三数学试题答案,本试卷主要考试内容为高考全部内容,这个系列的还是非常不错的,感兴趣的可以来看看哦!2024届
广东七校联合体2024届8月高三第一次联考数学答案
2023-08-09 09:15:34
小编这次收集整理的是广东七校联合体2024届8月高三第一次联考的数学答案,命题学校潮阳一中,其他学科的也有收集整理,站内直接搜七校联合体就可以搜到了!广东七校联合体2024届8月
广东2024届高三第一次六校联考数学试题答案
2023-08-08 15:45:45
小编这次收集整理的是广东2024届高三第一次六校联考的数学试题答案,这个是由中山纪念中学命题的,联考的学校有东莞中学、广州二中、惠州一中、深圳实验、珠海一中、中山纪念中
广州市真光中学2024届高三开学质量检测英语试卷答案
2023-08-08 10:52:17
小编这次收集整理的是广州市真光中学2024届高三开学质量检测的英语试卷答案,这个系列的还有其他学科的,后续有整理也会收集,这个是八月份的考试,感兴趣的可以来看看哦!广州市真光