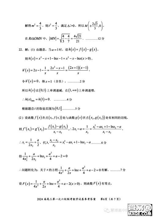
小编这次收集整理的是广东2024届高三第一次六校联考的数学试题答案,这个是由中山纪念中学命题的,联考的学校有东莞中学、广州二中、惠州一中、深圳实验、珠海一中、中山纪念中学,感兴趣的可以来看看哦!

答案如下,仅供参考!













广州市真光中学2024届高三开学质量检测英语试卷答案
2023-08-08 10:52:17
小编这次收集整理的是广州市真光中学2024届高三开学质量检测的英语试卷答案,这个系列的还有其他学科的,后续有整理也会收集,这个是八月份的考试,感兴趣的可以来看看哦!广州市真光
湛江第一中学2024届高三级开学考试英语答案
2023-08-08 10:21:49
小编这次收集整理的是湛江第一中学2024届高三级开学考试的英语答案,全卷满分120分,考试时间120分钟,这个系列的还是不错的,感兴趣的可以来看看,这次的是英语考试,其他学科会陆续收
2023年8月第一届鱼塘杯高考适应性练习数学答案
2023-08-08 09:54:31
小编这次收集整理的是2023年8月第一届鱼塘杯高考适应性练习的数学答案,这个是适应性考试,也是网课考试,想要练习的也可以来看看哦,检查一下自己做对了多少吧!2023年8月第一届鱼塘
毛坦厂2024届高三年级第一学期周考数学试卷答案
2023-08-08 09:21:08
小编这次收集整理的是毛坦厂2024届高三年级第一学期周考的数学试卷答案,这个是实验班的考试,出题还是不错的,感兴趣的可以来看看,评估一下自己的分数,知己知彼,对于复习更有帮助!毛