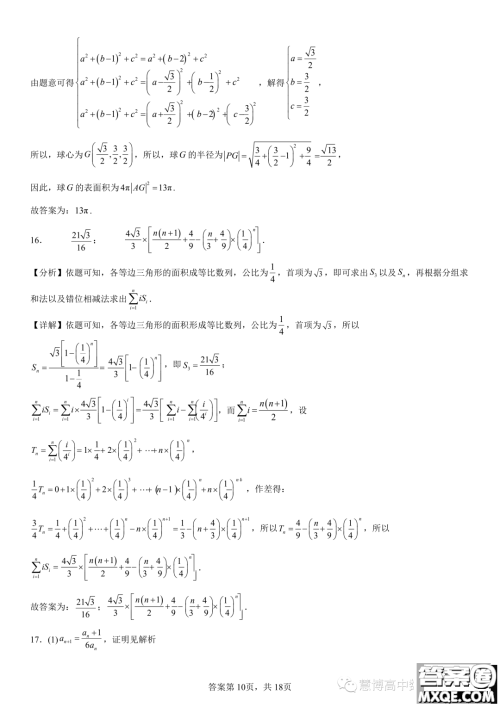
小编这次收集整理的是2024届东北育才学校科学高中部适应性测试一的高三数学试题答案,本试卷主要考试内容为高考全部内容,这个系列的还是非常不错的,感兴趣的可以来看看哦!

答案如下,仅供参考!

























广东七校联合体2024届8月高三第一次联考数学答案
2023-08-09 09:15:34
小编这次收集整理的是广东七校联合体2024届8月高三第一次联考的数学答案,命题学校潮阳一中,其他学科的也有收集整理,站内直接搜七校联合体就可以搜到了!广东七校联合体2024届8月
广东2024届高三第一次六校联考数学试题答案
2023-08-08 15:45:45
小编这次收集整理的是广东2024届高三第一次六校联考的数学试题答案,这个是由中山纪念中学命题的,联考的学校有东莞中学、广州二中、惠州一中、深圳实验、珠海一中、中山纪念中
广州市真光中学2024届高三开学质量检测英语试卷答案
2023-08-08 10:52:17
小编这次收集整理的是广州市真光中学2024届高三开学质量检测的英语试卷答案,这个系列的还有其他学科的,后续有整理也会收集,这个是八月份的考试,感兴趣的可以来看看哦!广州市真光
湛江第一中学2024届高三级开学考试英语答案
2023-08-08 10:21:49
小编这次收集整理的是湛江第一中学2024届高三级开学考试的英语答案,全卷满分120分,考试时间120分钟,这个系列的还是不错的,感兴趣的可以来看看,这次的是英语考试,其他学科会陆续收