
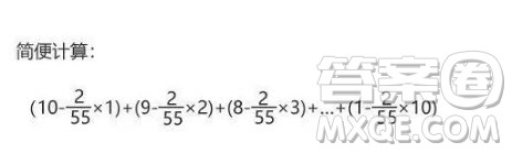
(10—2/55x1)十(9一2/55x2)十(8一2/55x3)+…十(1一2/55x10)
=(10+9+8+.+2+1)-2/55×(1+2+.+10)
=55-2/55×55
=55-2
=53
2个橙子相加等于20图片答案 橙子梨子葡萄数学题答案
2019-06-21 08:46:49
2个橙子相加等于20,一个橙子加一个梨子等于18,一个橙子加一个半梨子加葡萄=32一个半橙子+一个半梨子+一串葡萄等于多少?解析:2个橙子=20,一个橙子=10,半个橙子=5.1个橙子+1个梨子=
3双红鞋子等于30 2个带眼镜的男孩加一双红球鞋等于20图片答案
2019-05-17 10:36:33
三双红球鞋=30,两个戴眼镜没穿鞋子的男孩+一双鞋子=20,两束捧花+男孩=13问一只鞋子+捧花男孩X捧花=?这个额其实蛮好算的,先看鞋子,一双鞋子=10,一只=5下面没穿鞋子的男孩=(20-10)/
将一个立方体绕着它的对角线 AC1 旋转一周,会得到下面的哪一种立体图形?
2019-05-10 17:45:24
C是两个锥面,D是一个旋转双曲面。所以选DD,只有它是弯的。解析:从正方体的几个角的旋转来看,可以确定在CD之间选择。那么为什么是D不是C呢?因为运动的过程是一个旋转的过程,是曲面
丢番图的年龄数学题 关于丢番图墓志铭的计算题
2019-04-28 17:26:41
古希腊数学家丢番图是以研究不定方程著称于世的数学家,在他的墓碑上刻着一段墓志铭:上帝赐予的童年占六分之一,又过十二分之一,两颊长胡,再过七分之一,点燃结婚的蜡烛.五年之后天赐