小编这次收集整理的是山西大学附属中学校2025届高三上学期开学考试的数学试题答案,考查时间120分钟,满分150分,这个也是高三的开学考试,想要练习的可以来做做看,符合山西地区的学子练习,适合山西地区的高考考纲要求!

答案如下,仅供参考!
















湖南长沙雅礼中学2025届高三上学期入学考试数学试题答案
2024-08-08 11:49:03
小编这次收集整理的是湖南长沙雅礼中学2025届高三上学期入学考试的数学试题答案,时间120分钟,分值150分,想要练习的可以来做做看哦,检查一下自己做的对不对吧!这个适用于湖南地区
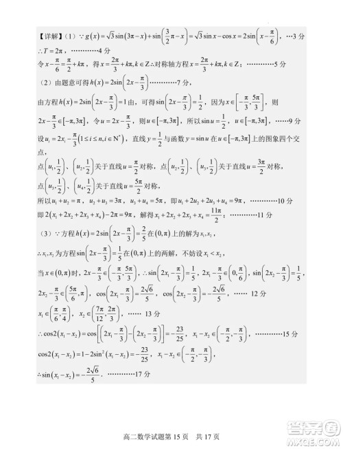
2025届高三天枢杯第二届线上联考数学试题答案
2024-08-07 15:08:56
小编这次收集整理的是2025届高三天枢杯第二届线上联考的数学试题答案,本次的是线上的考试,想要练习一下的可以来做做看,这个系列的还是非常不错的,非常适合用来练习,感兴趣的快来
辽宁省沈文新高考研究联盟2025届高三8月模拟预测数学试题答案
2024-08-07 11:41:43
小编这次收集整理的是辽宁省沈文新高考研究联盟2025届高三8月模拟预测的数学试题答案,由辽宁沈文新高考研究联盟命题,本试卷满分150分,考试时间120分钟,想要练习的可以来做做看,
江苏海安高级中学2025届高三上学期暑假模拟测试数学试题答案
2024-08-07 11:05:35
小编这次收集整理的是2024年-2025学年第一学期高三年级模拟试卷数学的试题答案,解析全面,方便核对答案评估自己的分数,看看自己大概可以得多少分,这次的是校级考试,想要练习的可