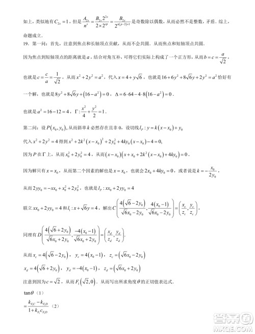
小编这次收集整理的是2025届高三天枢杯第二届线上联考的数学试题答案,本次的是线上的考试,想要练习一下的可以来做做看,这个系列的还是非常不错的,非常适合用来练习,感兴趣的快来试试吧!

答案如下,仅供参考!















辽宁省沈文新高考研究联盟2025届高三8月模拟预测数学试题答案
2024-08-07 11:41:43
小编这次收集整理的是辽宁省沈文新高考研究联盟2025届高三8月模拟预测的数学试题答案,由辽宁沈文新高考研究联盟命题,本试卷满分150分,考试时间120分钟,想要练习的可以来做做看,
江苏海安高级中学2025届高三上学期暑假模拟测试数学试题答案
2024-08-07 11:05:35
小编这次收集整理的是2024年-2025学年第一学期高三年级模拟试卷数学的试题答案,解析全面,方便核对答案评估自己的分数,看看自己大概可以得多少分,这次的是校级考试,想要练习的可
广州市真光中学2025届高三上学期开学质检数学试题答案
2024-08-07 10:24:25
小编这次收集整理的是广州市真光中学2025届高三上学期开学质检的数学试题答案,本试卷共5页,满分150分,考试用时120分钟,这个是八月份的考试,想要练习一下的可以来做做看哦,这个适
湖北武汉东西湖区2025届新高三8月适应性考试数学试卷答案
2024-08-07 09:41:45
小编这次收集整理的是湖北武汉东西湖区2025届新高三8月适应性考试的数学试卷答案,本试题卷共4页,全卷满分150分,考试用时120分钟,这个系列的还是非常不错的,想要练习的可以来做做