小编这次收集整理的是浙江精诚联盟2022-2023学年高二下学期5月联考的数学试题答案,本卷共4页满分150分,考试时间120分钟,这个是高二的考试,也可以多练习练习,基本在高三阶段就要开始准备复习了!

答案如下,仅供参考!










福建省宁德一中2022-2023学年高二下学期5月月考数学试题答案
2023-05-30 15:28:37
小编这次收集整理的是福建省宁德一中2022-2023学年高二下学期5月月考的数学试题答案,这个是高二五月月考数学考试试卷习题和参考答案,感兴趣的可以来看看,高二数学学科的试卷收
安徽省十校联盟2023年第三届年高二数理化生解题能力竞赛数学试卷答案
2023-05-26 09:46:11
小编这次收集整理的是数理化生解题竞赛的数学试卷答案,这个出题模式和正规的试卷出题不一样,难度相对来说大一些了,感兴趣的可以来看看,这个是高二年级的,做完了根据答案解析来评
山西2022-2023学年度教育发展联盟高二5月份调研测试数学试卷答案
2023-05-17 15:51:23
小编这次收集整理的是山西2022-2023学年度教育发展联盟高二5月份调研测试的数学试卷答案,本试卷满分150分,考试时间120分钟,这个系列的试卷主要考试命题范围选择性必修三占40%,
安徽江南十校2023年5月高二年级联考数学模拟试题答案
2023-05-16 11:57:28
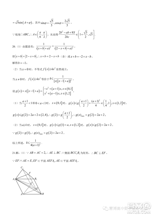
小编这次收集整理的是安徽江南十校2023年5月高二年级联考的数学模拟试题答案,考试范围选择性必修第一册、第二册、第三册,在进行模拟练习的时候要注意自己是否学完这些内容,不