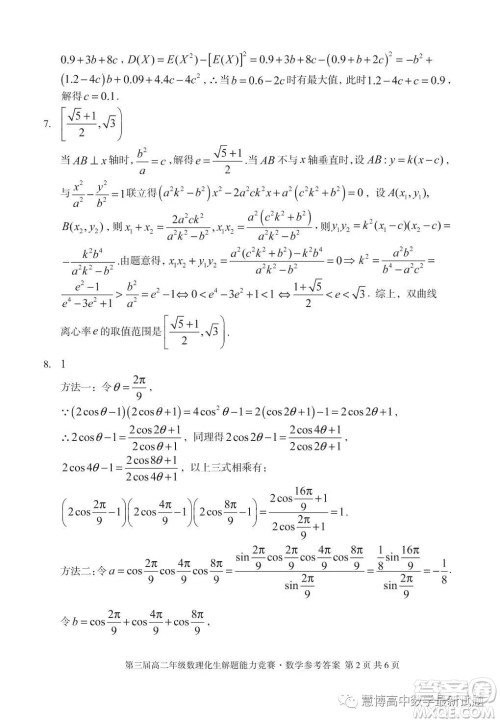
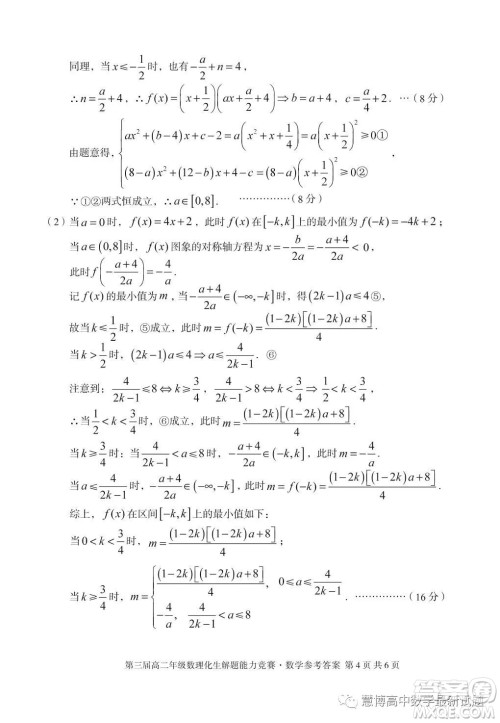
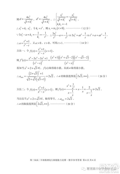
小编这次收集整理的是数理化生解题竞赛的数学试卷答案,这个出题模式和正规的试卷出题不一样,难度相对来说大一些了,感兴趣的可以来看看,这个是高二年级的,做完了根据答案解析来评估一下自己的分数!

答案如下,仅供参考!








山西2022-2023学年度教育发展联盟高二5月份调研测试数学试卷答案
2023-05-17 15:51:23
小编这次收集整理的是山西2022-2023学年度教育发展联盟高二5月份调研测试的数学试卷答案,本试卷满分150分,考试时间120分钟,这个系列的试卷主要考试命题范围选择性必修三占40%,
安徽江南十校2023年5月高二年级联考数学模拟试题答案
2023-05-16 11:57:28
小编这次收集整理的是安徽江南十校2023年5月高二年级联考的数学模拟试题答案,考试范围选择性必修第一册、第二册、第三册,在进行模拟练习的时候要注意自己是否学完这些内容,不
福建2022-2023学年度高二第二学期质优生筑梦联考数学试题答案
2023-05-09 09:58:20
小编这次收集整理的是福建2022-2023学年度高二第二学期质优生筑梦联考的数学试题答案,这个是高二下学期的联考,出题质量不错,难度也还可以,可以充分了解学生在高二下学期的数学
浙江9+1高中联盟2022-2023学年高二下学期期中数学试题答案
2023-05-04 14:42:26
小编这次收集整理的是浙江9+1高中联盟2022-2023学年高二下学期期中考试的数学试题答案,这个系列的是浙江地区的9+1高中联盟联考的,出题的水平也还不错,也基本都覆盖了相关的知