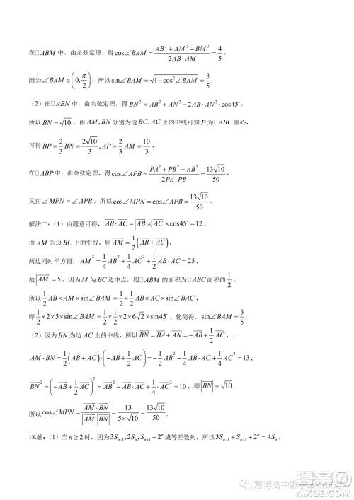
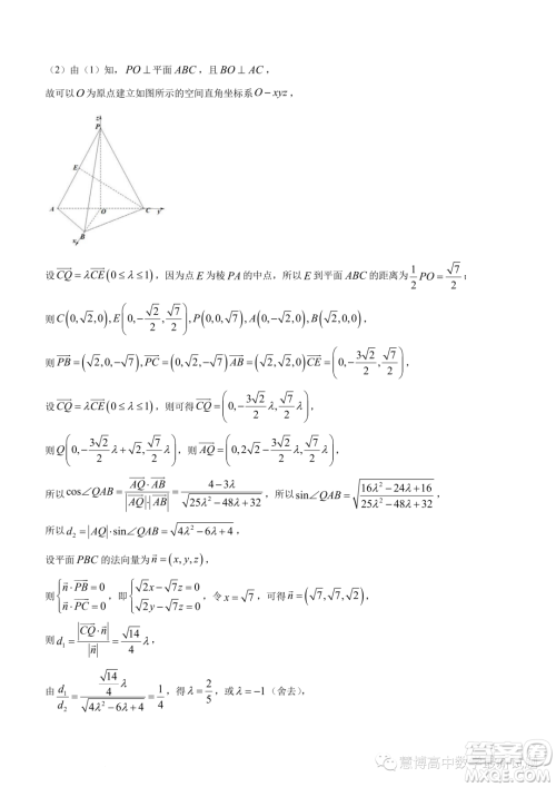
小编这次收集整理的是福建2022-2023学年度高二第二学期质优生筑梦联考的数学试题答案,这个是高二下学期的联考,出题质量不错,难度也还可以,可以充分了解学生在高二下学期的数学学科学习情况,感兴趣的可以来看看!

答案如下,仅供参考!
















浙江9+1高中联盟2022-2023学年高二下学期期中数学试题答案
2023-05-04 14:42:26
小编这次收集整理的是浙江9+1高中联盟2022-2023学年高二下学期期中考试的数学试题答案,这个系列的是浙江地区的9+1高中联盟联考的,出题的水平也还不错,也基本都覆盖了相关的知
深圳市高级中学集团2022-2023学年第二学期期中测试数学试卷答案
2023-05-04 10:54:35
小编这次收集整理的是深圳市高级中学集团2022-2023学年第二学期期中测试的数学试卷答案,满分150分,考试时间120分钟,这个系列的还是非常不错的,感兴趣的可以来看看,期中考试的高
合肥六校联盟2022-2023学年第二学期期中联考高二年级数学试卷答案
2023-05-04 10:33:52
小编这次收集整理的是合肥三中命题的合肥留校联盟高二下学期的期中联考试卷的数学习题和参考答案,这个系列的是2023年份的考试,也是为了高二下学期期中的一个摸底排查,多做练习
台州市八校联盟2022-2023学年高二下学期期中联考数学试题答案
2023-04-25 17:11:25
小编这次收集整理的是台州市八校联盟2022-2023学年高二下学期的期中联考数学试题答案,这个是台州市的八校联考的高二试卷,还有高一学期的,站内直接搜八校联盟或者台州市就可以