小编这次收集整理的是龙华高级中学格致中学2022-2023学年下学期5月段考试卷的高二数学试卷答案,这个是高二的五月联考,也是为了评估当前学习进度,想要练习的可以来看看,高二的数学知识点还是很有难度的!

答案如下,仅供参考!















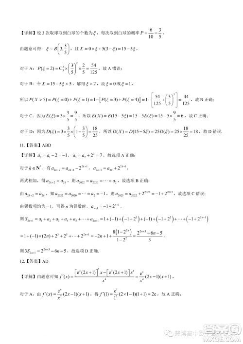
2022-2023学年高中数学新高考2押题卷答案
2023-05-23 09:53:38
小编这次收集整理的是2022-2023学年高中数学新高考2押题卷的答案,这个系列的主打一个押题和高考回顾,解析还是非常详细的,各个方法都有,主要训练的是知识点的掌握和解题方法,感兴
2023年普通高等学校招生全国统一考试临门猜题卷一数学理科答案
2023-05-22 16:50:10
小编这次收集整理的是2023年普通高等学校招生全国统一考试临门猜题卷一的数学理科答案,这个系列的还有其他类型的卷子,比如押题卷,都是理科的,符合分文理科地区的高考模式,感兴趣
2023年普通高等学校招生全国统一考试考前预测精品押题卷二数学理科答案
2023-05-22 16:38:18
小编这次收集整理的是2023年普通高等学校招生全国统一考试考前预测精品押题卷二的数学答案,这个是考前越策精品押题卷数学理科试卷,适用于高考区分文理科的地区,想要模拟练习的
河北盐山中学2022-2023学年高一下学期期中考试数学试题答案
2023-05-22 16:21:56
小编这次收集整理的是河北盐山中学2022-2023学年高一下学期期中考试的数学试题答案,这个是高一年级下学期的,在做试卷的时候要注意区分,这个系列的还是非常不错的,感兴趣的可以