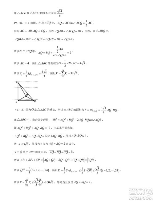
小编这次收集整理的是高2026届高一下的期中考试数学试卷的习题和参考答案,这个也就是2024年的高一期中考试了,适用于重庆地区,巴蜀中学的试卷难度还是很值得练习的,想要做做看的快来试试吧!

答案如下,仅供参考!











武汉华中师一附中2024年高一下学期4月期中检测数学试题答案
2024-05-06 16:10:37
小编这次收集整理的是武汉华中师一附中2024年高一下学期4月期中检测的数学试题答案,考试时间120分钟,满分150分,这个是高一下学期的4月底的考试,五一之后用来练习也是可以了,对于
江苏盐城五校联考2024年高一4月期中数学试题答案
2024-04-24 18:08:57
小编这次收集整理的是江苏盐城五校联考2024年高一4月期中的数学试题答案,这次的考试是高一年级的期中考试练习,之前也比较少整理高一的试卷,有需要练习的可以来做做看哦,对比答
安徽智学大联考皖中名校联盟2024年高一下学期期中检测数学试卷答案
2024-04-23 10:25:18
小编这次收集整理的是安徽智学大联考皖中名校联盟2024年高一下学期期中检测的数学试卷答案,这是4月份的期中考试,也是安徽地区的联考,想要练习的可以来做做看,评估一下当前的分
广东惠州三校联考2024年高一下学期第一次月考数学试题答案
2024-04-07 14:25:38
小编这次收集整理的是广东惠州三校联考2024年高一下学期第一次月考的数学试题答案,这个是2024年4月2日下午三点到五点的考试,想要练习的可以来看看,检查一下自己做错了多少,记得