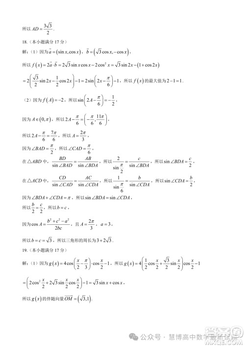
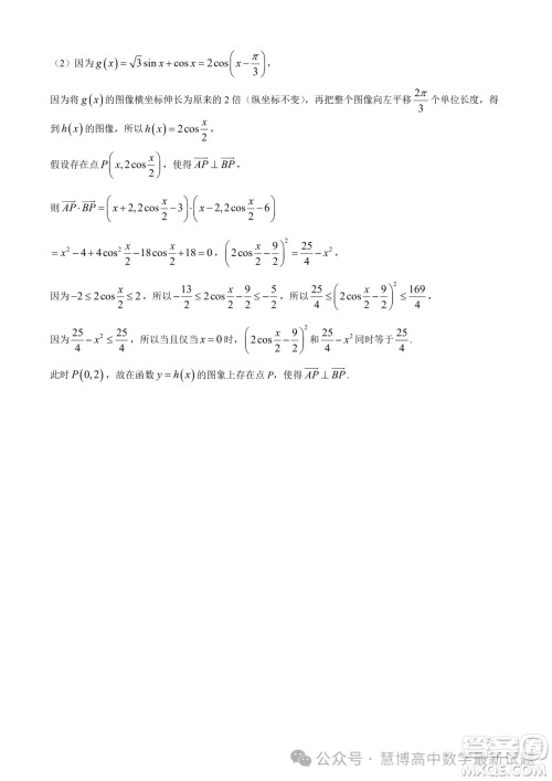
小编这次收集整理的是江苏盐城五校联考2024年高一4月期中的数学试题答案,这次的考试是高一年级的期中考试练习,之前也比较少整理高一的试卷,有需要练习的可以来做做看哦,对比答案来自我评估分数吧!

答案如下,仅供参考!






安徽智学大联考皖中名校联盟2024年高一下学期期中检测数学试卷答案
2024-04-23 10:25:18
小编这次收集整理的是安徽智学大联考皖中名校联盟2024年高一下学期期中检测的数学试卷答案,这是4月份的期中考试,也是安徽地区的联考,想要练习的可以来做做看,评估一下当前的分
广东惠州三校联考2024年高一下学期第一次月考数学试题答案
2024-04-07 14:25:38
小编这次收集整理的是广东惠州三校联考2024年高一下学期第一次月考的数学试题答案,这个是2024年4月2日下午三点到五点的考试,想要练习的可以来看看,检查一下自己做错了多少,记得
山东省学情2024年高一3月月考数学试题答案
2024-04-07 13:58:50
小编这次收集整理的是山东省学情2024年高一3月月考的数学试题答案,这次山东省的学情考试调研,适用于山东地区的高一学子练习,做完了之后根据后面的答案得分分布来评估自己大概
河南名校联盟2023-2024学年高一下学期3月测试数学试题答案
2024-03-20 10:42:44
小编这次收集整理的是河南名校联盟2023-2024学年高一下学期3月测试的数学试题答案,高一的试卷整合的不算多,想要练习的可以来看看,其他地区的也可以练习,高中阶段的知识点和考试