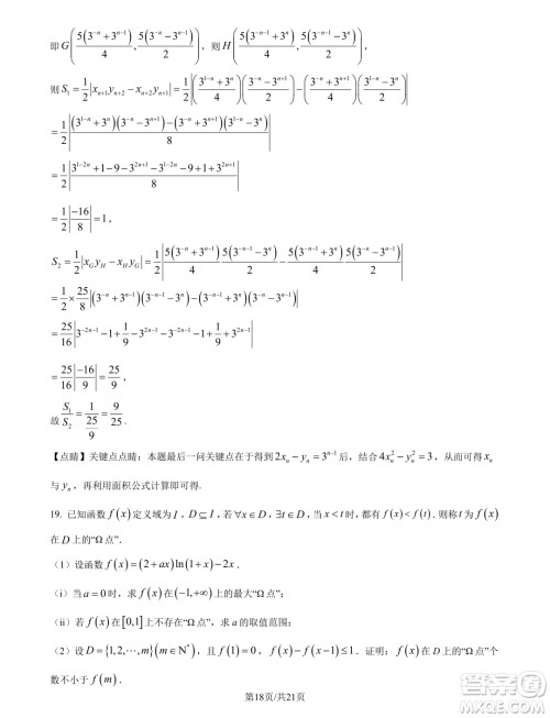
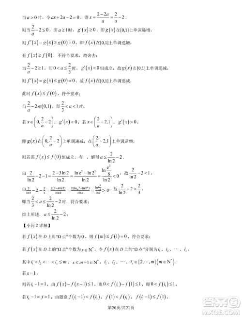
小编这次收集整理的是山东青岛2025届高三上学期期初调研检测的数学试题答案,这个是九月份的考试,主要考试范围也是之前学习的高一到高二的内容,符合高考方向,想要练习的可以来看看哦!

答案如下,仅供参考!





















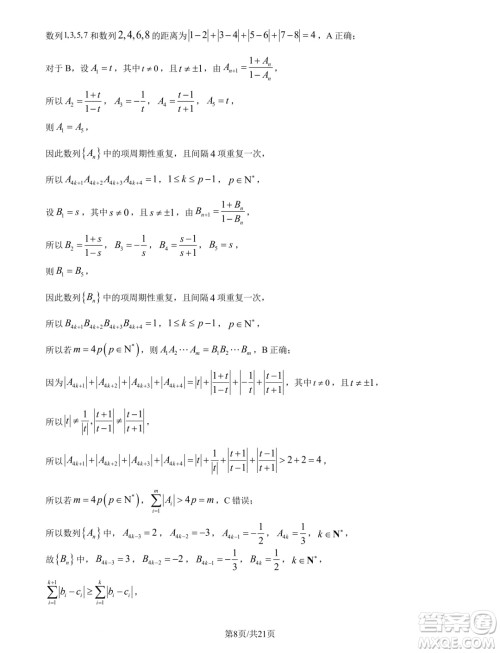
江苏南通市海安市2025届高三上学期开学数学试题答案
2024-09-13 09:04:40
小编这次收集整理的是江苏南通市海安市2025届高三上学期开学的数学试题答案,想要练习的可以来做做看哦,这个是高三上学期的入学考试,适用于江苏地区,快来做做看吧!江苏南通市海安
四川2025届新高三秋季入学摸底考试数学试题答案
2024-09-12 09:07:59
小编这次收集整理的是四川2025届新高三秋季入学摸底考试的数学试题答案,试卷共4页,19小题,满分150分,考试用时120分钟,想要练习的可以来做做看哦,检查一下自己做的对不对吧!四川202
湖北省部分州市2025届高三9月月考联合测评数学试题答案
2024-09-11 10:55:24
小编这次收集整理的是湖北省部分州市2025届高三9月月考联合测评的数学试题解析答案,这次适用于湖北地区的学子使用,想要练习一下的可以来做做看哦,检查一下自己做的对不对吧!湖
2025届重庆高三上学期第一次质检数学试题答案
2024-09-10 11:45:31
小编这次收集整理的是2025届重庆高三上学期第一次质检的数学试题答案,命题审题单位:重庆南开中学,想要练习的可以来做做看哦,适用于川渝地区,这个是高三的第一次检测试卷,九月份初