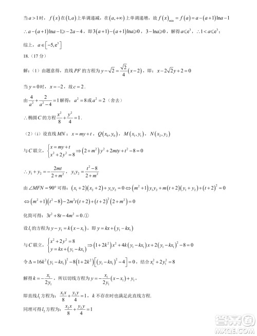
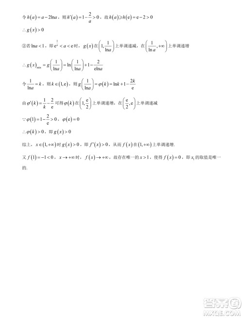
小编这次收集整理的是2025届重庆高三上学期第一次质检的数学试题答案,命题审题单位:重庆南开中学,想要练习的可以来做做看哦,适用于川渝地区,这个是高三的第一次检测试卷,九月份初的考试,在做练习前注意看一下考题的范围在不在复习巩固范围中哦!

答案如下,仅供参考!












2025届江西稳派联考高三上学期开学数学试题答案
2024-09-09 17:26:31
小编这次收集整理的是2025届江西稳派联考高三上学期开学的数学试题答案,试卷共4页,19小题,满分150分,考试用时120分钟。想要练习的可以来做做看,这个是联考试卷哦,出题质量还是很
2025届湖北宜荆荆恩高三9月起点考试数学试题答案
2024-09-05 11:45:36
小编这次收集整理的是2025届湖北宜荆荆恩高三9月起点考试的数学试题答案,命题单位荆州市教科院,审题单位恩施州教科院和宜昌市教科院,想要练习的可以来做做看哦,检查一下自己做
2025浙江七彩联盟高三上学期返校联考数学试题答案
2024-08-30 10:18:09
小编这次收集整理的是2025浙江七彩联盟高三上学期返校联考的数学试题答案,本次考试是高三开学返校的练习考试,想要训练一下的可以来做做看哦,检查一下自己还有记得多少知识点,对
2025届湖南炎德英才高三第一次联考数学试题答案
2024-08-29 08:59:54
小编这次收集整理的是2025届湖南炎德英才高三第一次联考的数学试题答案,这次是也是入学的第一次考试,很多地区都展开了入学检测练习,这次的考试适用于湖南地区,感兴趣的可以来看