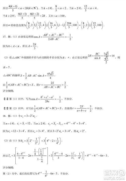
今天分享晋城市2024届高三上学期1月份第一次模拟考试试题数学参考答案,内容丰富,感兴趣的可以看过来。对于高三生来说,数学科目的备考压力很大,平时一定得把握住考试机会,考完务必反思,争取有效提分。

答案如下:














乌鲁木齐地区2024届高三上学期1月份第一次质量监测物理参考答案
2024-02-01 09:47:51
对于高三生来说,物理科目的备考要勤做练习,平时的考试机会也得把握住,考完记得反思。小编搜集了乌鲁木齐地区2024届高三上学期1月份第一次质量监测物理参考答案,感兴趣的可以对
乌鲁木齐地区2024届高三上学期1月份第一次质量监测数学参考答案
2024-02-01 09:23:57
在高三年级,学生们要留意数学科目的备考情况,考试结束之后记得查漏补缺,争取把知识点巩固好。小编分享乌鲁木齐地区2024届高三上学期1月份第一次质量监测数学参考答案,感兴趣的
聊城市2023-2024学年高三上学期期末教学质量检测数学参考答案
2024-02-01 09:07:37
在高三上学期,期末考试是检验备考效果的重要方式,大家务必得把握住机会,争取拿到好成绩。小编整理了聊城市2023-2024学年高三上学期期末教学质量检测数学参考答案,感兴趣的可以
雅礼中学2024届高三上学期1月份月考试卷五英语参考答案
2024-02-01 08:40:54
小编整理了雅礼中学2024届高三上学期1月份月考试卷五英语参考答案,内容丰富,感兴趣的可以对照了解。在高三上学期,英语科目的备考要多花心思,考试机会要把握住,这样才能有效提分