在高三年级,学生们要留意数学科目的备考情况,考试结束之后记得查漏补缺,争取把知识点巩固好。小编分享乌鲁木齐地区2024届高三上学期1月份第一次质量监测数学参考答案,感兴趣的可以看过来。

答案如下:








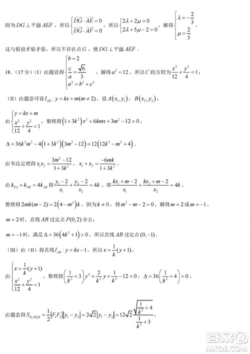
聊城市2023-2024学年高三上学期期末教学质量检测数学参考答案
2024-02-01 09:07:37
在高三上学期,期末考试是检验备考效果的重要方式,大家务必得把握住机会,争取拿到好成绩。小编整理了聊城市2023-2024学年高三上学期期末教学质量检测数学参考答案,感兴趣的可以
雅礼中学2024届高三上学期1月份月考试卷五英语参考答案
2024-02-01 08:40:54
小编整理了雅礼中学2024届高三上学期1月份月考试卷五英语参考答案,内容丰富,感兴趣的可以对照了解。在高三上学期,英语科目的备考要多花心思,考试机会要把握住,这样才能有效提分
雅礼中学2024届高三上学期1月份月考试卷五物理参考答案
2024-01-31 17:50:16
我们知道,高三年级的备考压力很大,物理科目是重点,大家得多花心思,考试机会务必把握住。今天分享雅礼中学2024届高三上学期1月份月考试卷五物理参考答案,感兴趣的可以对照看看。
雅礼中学2024届高三上学期1月份月考试卷五数学参考答案
2024-01-31 17:30:51
进入高三年级,学生们会经历各种考试,大家得把握住机会,考完务必查漏补缺,这样才能有效提分。小编整理了雅礼中学2024届高三上学期1月份月考试卷五数学参考答案,一起来看看吧。雅