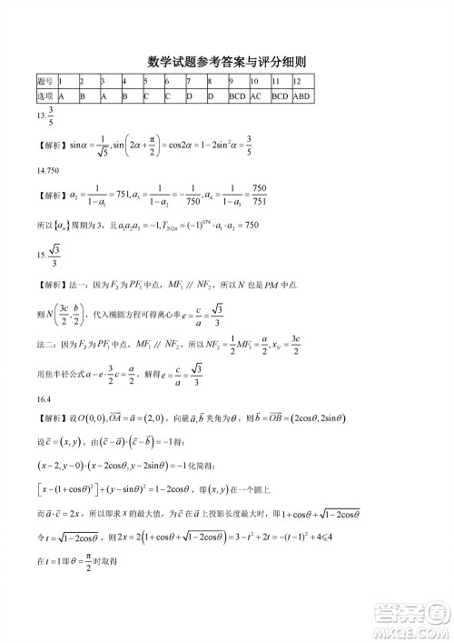
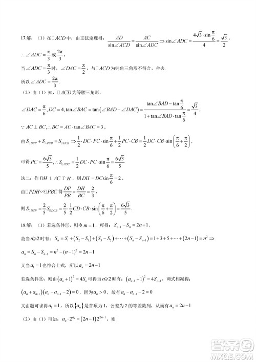
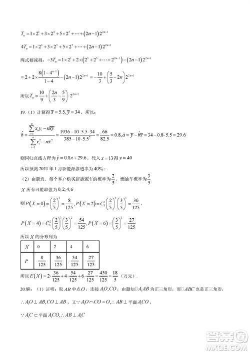
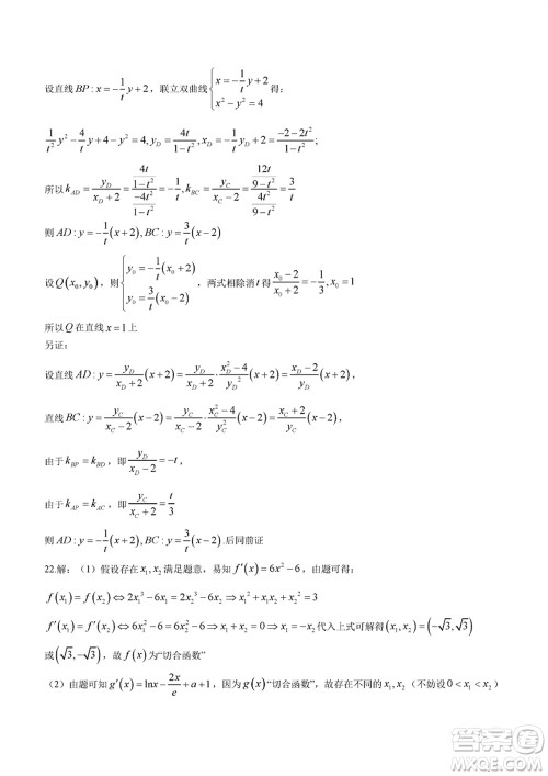
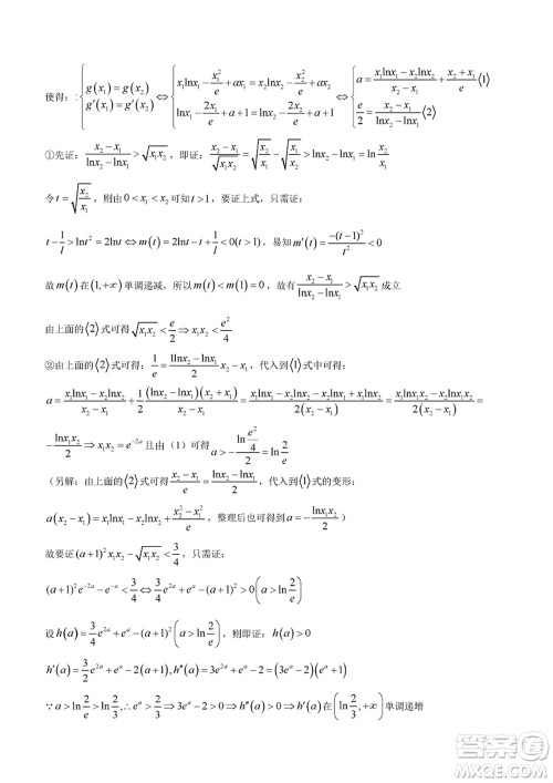
进入高三年级,数学科目的备考非常重要,大家得把握住考试机会,考完记得做好错题整理,这样才能有效提分。小编整理了重庆市高2024届高三上学期第五次质量检测数学试题参考答案,一起来看看吧。

答案如下:












许济洛平2023-2024学年高三上学期第二次质量检测数学参考答案
2024-01-04 15:43:16
昨日,河南省的平顶山、许昌、济源和洛阳四市的高三上学期第二次质量检测开考,数学科目安排在下午进行。小编整理了数学考试的题目及答案,感兴趣的可以对照看看,希望能帮到你们。
甘肃省2024届高三上学期1月高考诊断考试数学参考答案
2024-01-04 15:34:16
到了一月份,高三生上学期的备考已经过了大半,时间越来越紧张,大家务必要把握住机会,争取提升能力。小编搜集了甘肃省2024届高三上学期1月高考诊断考试数学参考答案,内容新颖,感兴
河北省2024届高三上学期12月大数据应用调研联合测评Ⅲ数学参考答案
2024-01-03 17:22:17
在刚刚过去的12月,学生们经历了各种考试,不管是简单的还是困难的,大家都得有所收获。小编整理了河北省2024届高三上学期12月大数据应用调研联合测评Ⅲ数学参考答案,感兴趣的可以
百师联盟2024届高三上学期一轮复习联考四江西卷生物参考答案
2023-12-29 17:01:49
对于高三生来说,生物科目的备考要把握住考试机会,不管是拿到高分还是低分,该做的整理不能少。今天搜集了百师联盟2024届高三上学期一轮复习联考四江西卷生物参考答案,欢迎大家对