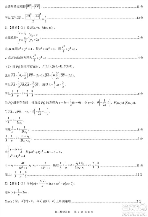
在刚刚过去的12月,学生们经历了各种考试,不管是简单的还是困难的,大家都得有所收获。小编整理了河北省2024届高三上学期12月大数据应用调研联合测评Ⅲ数学参考答案,感兴趣的可以看过来。

答案如下:








百师联盟2024届高三上学期一轮复习联考四江西卷生物参考答案
2023-12-29 17:01:49
对于高三生来说,生物科目的备考要把握住考试机会,不管是拿到高分还是低分,该做的整理不能少。今天搜集了百师联盟2024届高三上学期一轮复习联考四江西卷生物参考答案,欢迎大家对
百师联盟2024届高三上学期一轮复习联考四江西卷地理参考答案
2023-12-29 16:48:16
在高三年级,学生们会经历各种考试,考试结束之后务必得积极反思,争取把丢分的问题解决好。今天搜集了百师联盟2024届高三上学期一轮复习联考四江西卷地理参考答案,内容丰富,希望能
百师联盟2024届高三上学期一轮复习联考四化学参考答案
2023-12-29 16:24:06
在高三年级,化学科目的备考要记忆的内容不少,大家得利用好空余时间。此外,考试机会要把握住,结束之后得做好反思工作。今天整理了百师联盟2024届高三上学期一轮复习联考四化学参
百师联盟2024届高三上学期一轮复习联考四新高考卷英语参考答案
2023-12-29 16:11:36
到了高三年级,学生们的备考压力非常大,英语科目是重点,考试结束之后务必查漏补缺,争取有所收获。小编整理了百师联盟2024届高三上学期一轮复习联考四新高考卷英语参考答案,一起来