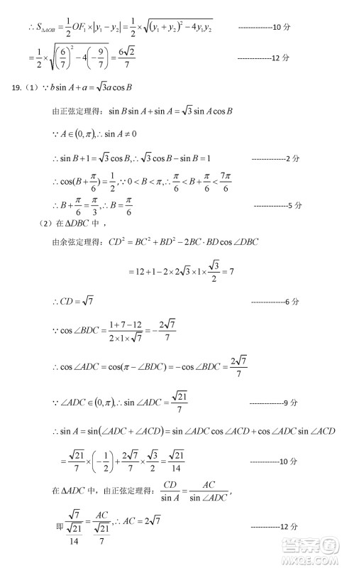
对于高三生来说,数学科目的备考要求不低,每次考试结束记得做好反思工作,争取把丢分的内容搞清楚。今天分享扬州高邮2024届高三上学期12月学情调研测试数学试题参考答案,感兴趣的可以对照了解。

答案如下:










山东名校考试联盟2023年12月高三年级阶段性检测政治试题参考答案
2023-12-21 09:20:39
对于高三生来说,政治科目的备考难度不低,大家需要背诵的内容非常多,平时的考试机会得把握住。小编分享山东名校考试联盟2023年12月高三年级阶段性检测政治试题参考答案,感兴趣的
山东名校考试联盟2023年12月高三年级阶段性检测化学试题参考答案
2023-12-21 08:49:09
在高三年级,化学科目的备考要把握住机会,尤其是联考,考完之后要积极反思,争取把丢分的问题解决好。今天整理了山东名校考试联盟2023年12月高三年级阶段性检测化学试题参考答案,感
山东名校考试联盟2023年12月高三年级阶段性检测生物试题参考答案
2023-12-20 17:51:03
对于高三生来说,生物科目的备考不简单,除了日常的训练,考试机会务必得把握住。今天整理了山东名校考试联盟2023年12月高三年级阶段性检测生物试题参考答案,内容丰富,欢迎大家对照
山东名校考试联盟2023年12月高三年级阶段性检测英语参考答案
2023-12-20 17:34:08
对于高三生来说,英语科目的备考内容不少,每天下课之后记得做练习,努力把知识点掌握好。当然,考试机会也得把握住。小编整理了山东名校考试联盟2023年12月高三年级阶段性检测英语