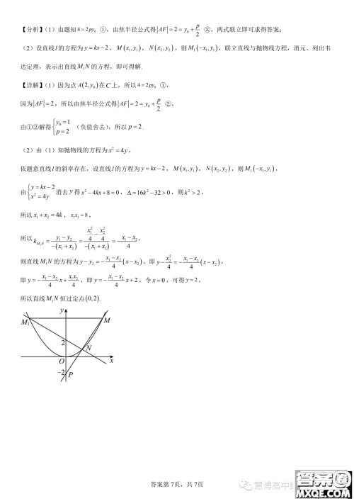
小编这次收集整理的是2024届广东深圳立人高级中学高三上学期8月月考的数学试题答案,这个系列的试卷还是非常不错的,感兴趣的可以来看看,检查一下自己做的对不对,八月大多都是开学考试,摸底排查!

答案如下,仅供参考!









安庆一中高2024届新高三收心摸底检测考试语文试卷答案
2023-08-18 15:30:00
小编这次收集整理的是安庆一中高2024届新高三收心摸底检测考试的语文试卷答案,这个系列的试卷是安庆一中的摸底考试,也是为了让学生尽快的适应高三生活,感兴趣的可以来看看哦!安
best友好联合体2023年8月高三教学质量检测地理试题答案
2023-08-18 14:54:15
小编这次收集整理的是best友好联合体2023年9月高三教学质量检测的地理试题答案,这个是8月的考试,感兴趣的可以来看看,检查一下自己做的对不对,这个系列的还是非常不错的,很多地区
如皋市2024届高三上学期8月诊断测试数学试题答案
2023-08-18 14:00:53
小编这次收集整理的是如皋市2024届高三上学期8月诊断测试的数学试题答案,这个是八月份的考试,也是高三上学期的入学考试,感兴趣的可以来看看,检查一下自己做的对不对,其他学科的
湖北省高中名校联盟2024届高三第一次联合测评历史试卷答案
2023-08-18 11:13:24
小编这次收集整理的是湖北省高中名校联盟2024届高三第一次联合测评的历史试卷答案,这个系列的还有其他学科的参考答案,比如语文数学英语等等,站内直接搜名校联盟就可以搜到了!湖