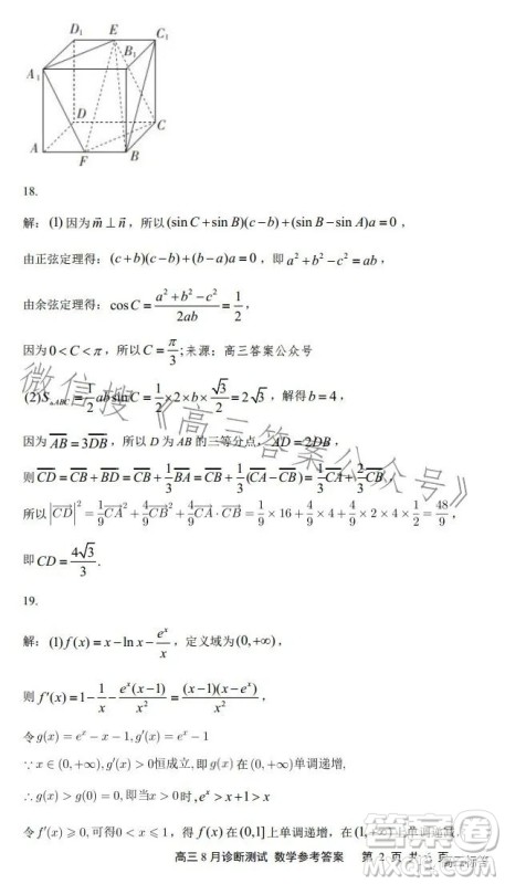
小编这次收集整理的是如皋市2024届高三上学期8月诊断测试的数学试题答案,这个是八月份的考试,也是高三上学期的入学考试,感兴趣的可以来看看,检查一下自己做的对不对,其他学科的也有收集整理哦!

答案如下,仅供参考!










湖北省高中名校联盟2024届高三第一次联合测评历史试卷答案
2023-08-18 11:13:24
小编这次收集整理的是湖北省高中名校联盟2024届高三第一次联合测评的历史试卷答案,这个系列的还有其他学科的参考答案,比如语文数学英语等等,站内直接搜名校联盟就可以搜到了!湖
湖北省高中名校联盟2024届高三第一次联合测评物理试卷答案
2023-08-18 10:43:05
小编这次收集整理的是湖北省高中名校联盟2024届高三第一次联合测评的物理试卷答案,这个是八月的考试,其他学科的也有整合,站内直接搜名校联盟就可以了,这个系列多学科整理,还是相
湖北省高中名校联盟2024届高三第一次联合测评英语试卷答案
2023-08-18 10:23:12
小编这次收集整理的是湖北省高中名校联盟2024届高三第一次联合测评的英语试卷答案,命题单位武汉外校英语学科组,审题单位襄阳市第五中学,感兴趣的可以来看看,其他学科的站内直接
常德一中2024届高三第二次月水平检测语文试卷答案
2023-08-17 16:47:10
小编这次收集整理的是常德一中2024届高三第二次月水平检测的语文试卷答案,时间150分钟,满分150分,命题人高三语文备课组,感兴趣的可以来看看,这个系列的还是非常不错的哦!常德一中