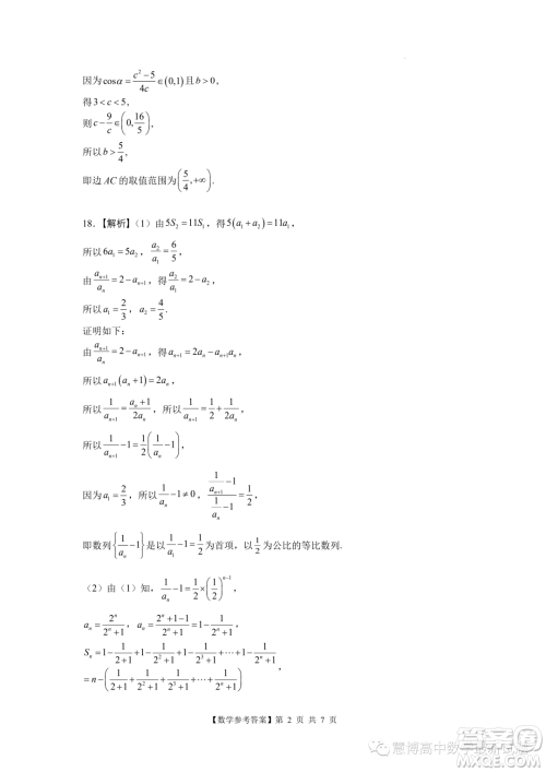
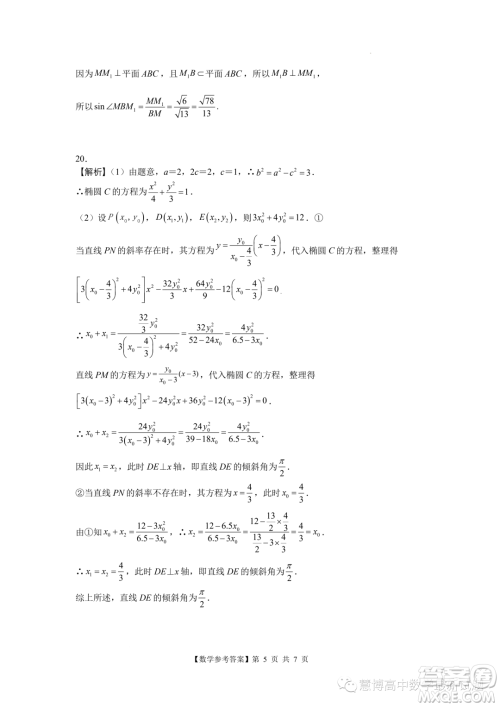
小编这次收集整理的是2024届广东阳江新高三开学适应性考试的数学试题答案,本试卷满分150分,考试用时120分钟,一共22小题,感兴趣的可以来看看哦,检查一下自己做的对不对吧!

答案如下,仅供参考!











甘肃省2024届新高考备考模拟考试数学试卷答案
2023-08-07 09:58:57
小编这次收集整理的是甘肃省2024届新高考备考模拟考试的数学试卷答案,开学考试系列都有收集各个地区的,这个是甘肃省的,其他地区有需要可以直接搜地名选择高三就可以了!甘肃省20
2024届河南郑州基石中学高三开学入学考试数学试卷答案
2023-08-07 09:33:53
小编这次收集整理的是2024届河南郑州基石中学高三开学入学考试的数学试卷答案,考试时间120分钟,分值150分,感兴趣的可以来看看,开学前的考试主要是对之前的知识点的一个评估!2024
2024届广东省四校高三第一次联考数学试卷答案
2023-08-07 09:10:36
小编这次收集整理的是2024届广东省四校高三第一次联考的数学试卷答案,这个系列的还有其他学科的,也有收集整理,站内直接搜广东省四校高三就可以搜到了,新高三很多地区已经提前进
江苏镇江市扬中市第二高级中学23-24第一学期高三数学阶段检测一答案
2023-08-04 15:47:12
小编这次收集整理的是江苏镇江市扬中市第二高级中学23-24第一学期的高三数学阶段检测一答案,这个也适合江苏省其他地区模拟练习,感兴趣的可以来看看,做完了之后核对一下,看看自