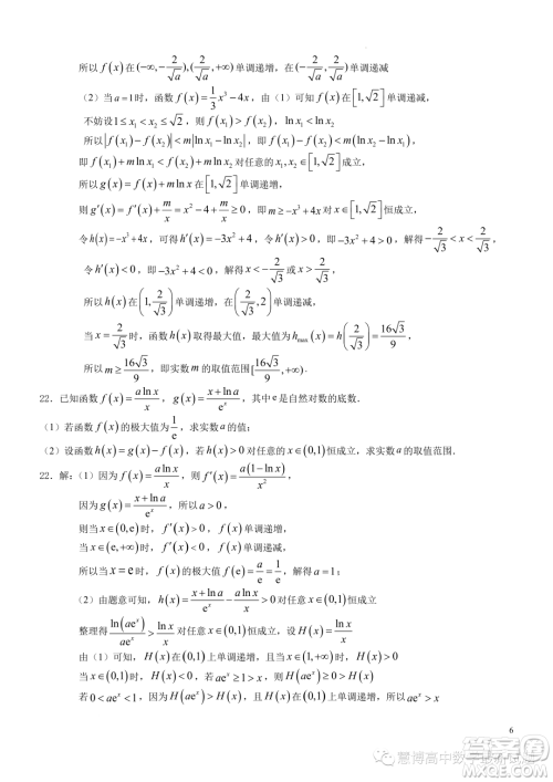
小编这次收集整理的是江苏镇江市扬中市第二高级中学23-24第一学期的高三数学阶段检测一答案,这个也适合江苏省其他地区模拟练习,感兴趣的可以来看看,做完了之后核对一下,看看自己当前知识点有哪些还没清楚的吧!

答案如下,仅供参考!







2024届广东省四校高三第一次联考英语试卷答案
2023-08-04 14:44:08
小编这次收集整理的是2024届广东省四校高三第一次联考的英语试卷答案,本次考试满分120分,考试用时120分钟,这个系列的是广东省的考试,也是八月初刚考完的,想要模拟练习的可以来看
卫辉一中2024届高三第三次考试语文试题答案
2023-08-04 14:12:17
小编这次收集整理的是卫辉一中2024届高三第三次考试的语文试题答案,这个是八月的考试,也是高三的准入学模拟考试,对于新高三学子来说是一次试炼,其他地区的也可以来练习一下,做完
2023-2024学年高三8月质量检测一政治试卷答案
2023-08-04 11:23:28
小编这次收集整理的是2023-2024学年高三8月质量检测一的政治试卷答案,本试卷共8页,20小题,满分100分,考试用时75分钟,这个是8月份的考试,感兴趣的可以来看看哦!2023-2024学年高三8
2023-2024学年上学期高三8月训练卷语文试卷答案
2023-08-04 10:51:17
小编这次收集整理的是2023-2024学年上学期高三8月训练卷的语文试卷答案,这个系列的试卷还是很不错的,多个地区都在使用练习,做完了之后可以根据答案核对一下,看看自己能够有多少