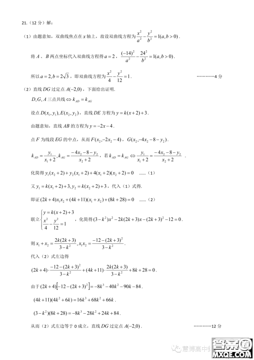
小编这次收集整理的是湖北省2023届高三五月国都省考模拟测试的数学试题,本试卷符合高考方向,出题质量也不错,难度中等偏上,跟进湖北地区教学进度,感兴趣的可以来看看哦!

答案如下,仅供参考!









2023年普通高等学校招生星云线上统一模拟考试II数学试卷答案
2023-05-04 10:18:44
小编这次收集整理的是2023年普通高等学校招生星云线上统一模拟考试II的数学试卷答案,这个系列是五月一号的线上考试,试卷出题还可以,本试卷共4页,22题,满分150分,考试用时120分钟,
三明市2023年普通高中高三毕业班质量检测数学试卷答案
2023-05-04 09:48:58
小编这次收集整理的是三明市2023年普通高中高三毕业班质量检测的数学试卷答案,这个是高三年级的月考,也是高考前为数不多的考试了,想要历练一下自己的可以来看看,检查一下自己做
2023届宁德市普通高中毕业班五月份质量检测数学试题答案
2023-05-04 09:34:56
小编这次收集整理的是2023届宁德市普通高中毕业班五月份质量检测的数学试题答案,这个系列的试卷还是非常不错的,这个也是五月初的考试,想要进行模拟练习的可以来看看,检查一下自
宜宾市普通高中2020级高考适应性考试理工数学试卷答案
2023-04-30 16:34:00
小编这次收集整理的是宜宾市普通高中2020级高考适应性考试的理工数学试卷答案,这个就是宜宾市的高三三模考试了,也是五一节假日之前的摸底考,为了检查宜宾学子当前的复习进度和