小编这次收集整理的是宜宾市普通高中2020级高考适应性考试的理工数学试卷答案,这个就是宜宾市的高三三模考试了,也是五一节假日之前的摸底考,为了检查宜宾学子当前的复习进度和学习情况,其他地区的学子想要模拟练习的也可以来看看哦!

答案如下,仅供参考!










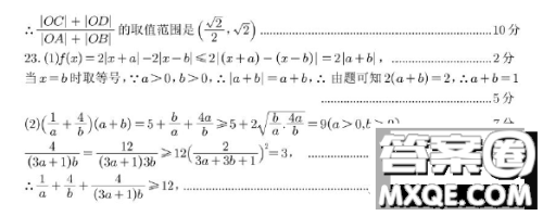
咸阳市2023年高考模拟检测三理科数学试题答案
2023-04-30 15:55:54
咸阳市高三三模考试系列的小编已经收集整理了语文、文科数学等相关试卷,这次整理的是数学理科的试卷,也是五一之前的考试,想要进行模拟练习的可以来看看,这个系列的还是很不错的
咸阳市2023年高考模拟检测三文科数学试题答案
2023-04-30 15:15:54
小编这次收集整理的是咸阳市的高三三模考试的文科数学试卷,这次是四月底的考试,也是为了针对前面的复习进行一个摸底排查,感兴趣的可以来看看,这个系列的也有整理其他学科的,站内
咸阳市2023年高考模拟检测三语文试题答案
2023-04-30 14:49:37
小编这次收集整理的是咸阳市高三三模考试的语文试卷答案,这个也是今年四月的考试,出题质量还是非常不错的,想要进行模拟的可以来看看,根据自己当前的学习水平来自我评估,对应提升
2023年金太阳高三4月联考23410C历史试卷答案
2023-04-27 15:30:47
小编这次收集整理的是2023年金太阳高三4月联考23410C的历史试卷答案,这个是河北省的高三年级下学期的四月联考,还是非常不错的,本试卷主要考试内容为高考全部内容,感兴趣的可以