小编这次收集整理的是2023届天域全国名校协作体4月阶段性联考的高三数学试题答案,本试卷共6页,满分150分,考试时间120分钟,这个系列的还是非常不错的,感兴趣的可以来看看哦!

答案如下,仅供参考!





















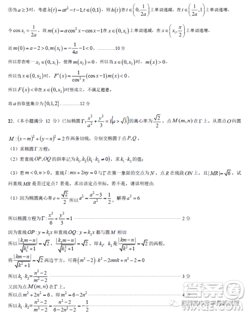
邯郸市2023届高三年级第二次模拟试题数学答案
2023-04-21 09:25:25
小编这次收集整理的是邯郸市的2023高三二模考试的数学试卷的习题和答案,本试卷共4页,满分150分,考试用时120分钟,这个系列的还是非常不错的,现在这个时间段也有很多地区在做二模
2023年哈三中高三学年第三次高考模拟考试数学试卷答案
2023-04-19 14:44:13
小编这次收集整理的是哈三中的高三年级第三次模拟考试的数学试卷答案,这个是四月份的考试,出题也是针对高考复习方向的,其他地区高三学子想要模拟练习的可以来看看哦!2023年哈三
河北保定六校联盟2022-2023学年高二下学期4月联考数学试题答案
2023-04-19 11:28:59
小编这次收集整理的是河北保定六校联盟2022-2023学年高二下学期4月联考的数学试题答案,是由河北省唐县一中命题的,测试时间120分钟,这个系列的试卷还是很不错的,对高二下学期的
2022-2023学年佛山市普通高中教学质量检测二高三数学试卷答案
2023-04-19 10:35:08
小编这次收集整理的是2022-2023学年佛山市普通高中教学质量检测二的高三数学试卷答案,本试卷共4页,22小题,满分150分,是佛山高三学校多校联合的二模考试,出题质量也比较不错,比较