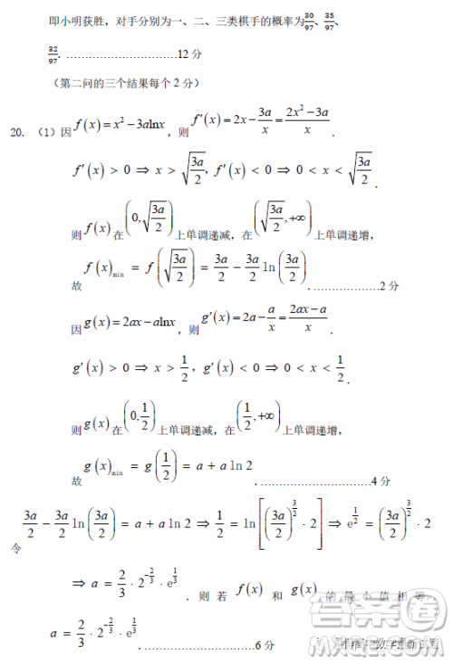
小编这次收集整理的是河北保定六校联盟2022-2023学年高二下学期4月联考的数学试题答案,是由河北省唐县一中命题的,测试时间120分钟,这个系列的试卷还是很不错的,对高二下学期的知识点针对性强,感兴趣的可以来看看哦!
河北保定六校联盟2022-2023学年高二下学期4月联考数学试题答案
答案如下,仅供参考!










2022-2023学年佛山市普通高中教学质量检测二高三数学试卷答案
2023-04-19 10:35:08
小编这次收集整理的是2022-2023学年佛山市普通高中教学质量检测二的高三数学试卷答案,本试卷共4页,22小题,满分150分,是佛山高三学校多校联合的二模考试,出题质量也比较不错,比较
2023年广州市普通高中毕业班综合测试二数学试卷答案
2023-04-19 09:53:09
小编这次收集整理的是2023年广州市普通高中毕业班综合测试二的数学试卷答案,本试卷共5页,22小题,满分150分,考试用时120分钟,这个是广州高三二模考试的数学试卷,感兴趣的可以来看
2023第八届湖北省高三4月调研模拟考试数学试卷答案
2023-04-19 09:39:49
小编这次收集整理的是2023第八届湖北省高三4月调研模拟考试的数学试卷答案,这个是四月的湖北省高三学子的联考调研,想要做模拟练习的可以来看看,本试卷共4页,出题也比较贴合高考
2023届湖南新高考教学教研联盟高三第二次联考物理试卷答案
2023-04-18 11:24:34
小编这次收集整理的是2023届湖南新高考教学教研联盟高三第二次联考的物理试卷答案,这次的是由岳阳市一中命题,邵东市一中审题,由湖南地区多校联合考试,还是非常不错的,也综合性考