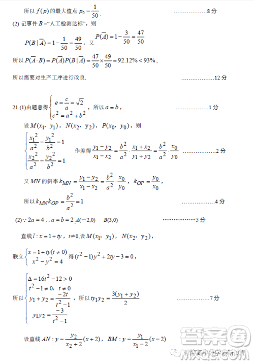
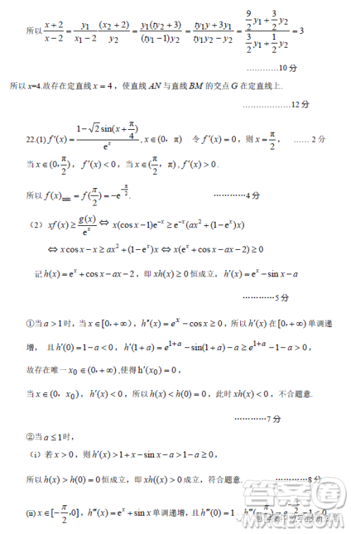
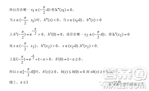
小编这次收集整理的是2023第八届湖北省高三4月调研模拟考试的数学试卷答案,这个是四月的湖北省高三学子的联考调研,想要做模拟练习的可以来看看,本试卷共4页,出题也比较贴合高考方向,多做做模拟也可以评估一下自己当前的复习状态!

答案如下,仅供参考!










2023届湖南新高考教学教研联盟高三第二次联考物理试卷答案
2023-04-18 11:24:34
小编这次收集整理的是2023届湖南新高考教学教研联盟高三第二次联考的物理试卷答案,这次的是由岳阳市一中命题,邵东市一中审题,由湖南地区多校联合考试,还是非常不错的,也综合性考
2023届湖南新高考教学教研联盟高三第二次联考历史试卷答案
2023-04-18 10:44:07
小编这次收集整理的是2023届湖南新高考教学教研联盟高三第二次联考的历史试卷答案,命题学校是岳阳县一中,审题学校是郴州市一中,这套试卷还有其他学科的,站内直接搜湖南新高考就
2023届湖南新高考教学教研联盟高三第二次联考语文试卷答案
2023-04-18 10:23:30
小编这次收集整理的是由长郡中学、衡阳市八中、永州市四中、岳阳县一中、湘潭县一中、湘西州民中、石门县一中等十八所学校联合命题的湖南新高考教学校验联盟的高三第二次联
2023届天域全国名校联盟第一次联考适应性试题英语试卷答案
2023-04-18 09:48:16
小编这次收集整理的是2023届天域全国名校联盟第一次联考适应性试题的英语试卷答案,这个系列是全国的一个多校联考,还是非常有质量的,想要多做模拟提升自己的可以来看看,检查一下