小编这次整合的是2023届金华十校4月二模预演的数学试题答案,其实这个是三月底的数学考试,也是为四月的一个复习打基础和摸底排查,这个系列的还是很不错的,感兴趣的可以来模拟练习试试哦!

答案如下,仅供参考!









2023届普通高等学校招生全国统一考试青桐鸣3月联考文科数学试题答案
2023-03-28 10:00:38
小编这次收集整理的是2023届普通高等学校招生全国统一考试青桐鸣3月联考的文科数学试题答案,这个系列的还有其他学科的,数学也有文理科之分,大多是安徽地区的学校联考,这个也是
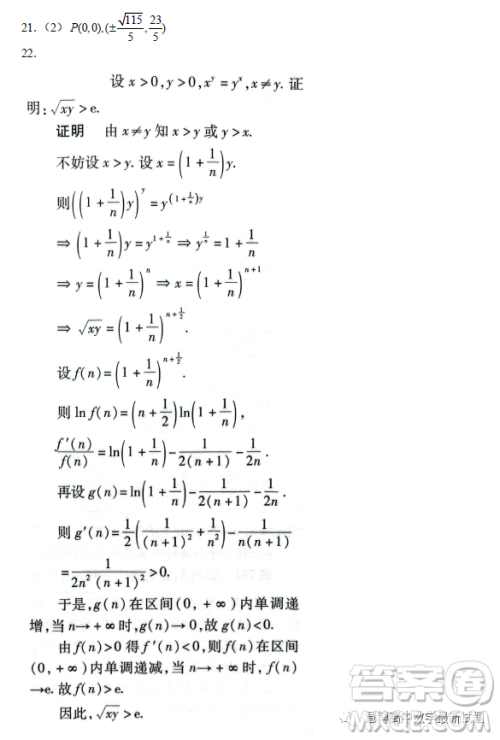
2023届普通高等学校招生全国统一考试青桐鸣大联考3月高三理科数学试卷答案
2023-03-28 09:46:29
小编这次收集整理的是2023届青桐鸣高三3月联考的理科数学试卷答案,这个系列的还有整合其他学科的,站内直接搜青桐鸣就可以了,这个主要是在安徽地区的联考,还是非常不错的,分文理
2023届天一大联考三晋名校联盟高三顶尖计划语文试题答案
2023-03-25 16:11:31
小编这次收集整理的是2023届天一大联考安徽名校高三顶尖计划的语文试题答案,这个系列的考试是三晋名校联盟考试,还有数学试卷考试习题和参考答案,站内直接搜天一大联考就可以了
2023届湘考王湖南高三联考数学试题答案
2023-03-25 14:30:21
小编这次收集整理的是湘考王2023湖南省高三联考试题的参考答案,这个系列的还是非常不错的,这次的湖南联考出题的水准也还不错,想要练习的话可以来看看哦!2023届湘考王湖南高三联