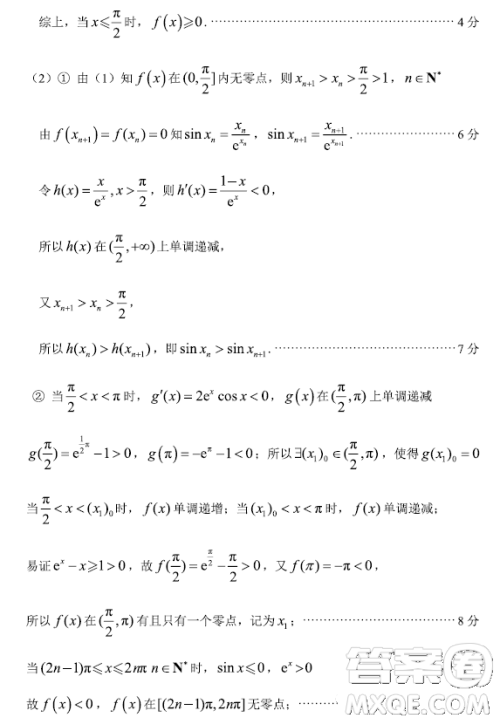
小编这次收集整理的是2023届三月山东枣庄高三二模的数学试卷答案,这个系列的试卷还是非常不错的,这次的综合考试,针对二轮复习的一个基础摸底,对于后续的复习的查缺补漏,还是非常不错的,感兴趣的可以来看看哦!

答案如下,仅供参考!















九江市2023年第二次高考模拟统一考试文科数学试卷答案
2023-03-25 15:37:26
小编这次收集整理的是九江市2023年第二次高考模拟统一考试的文科数学试卷答案,理科的也有整理,站内直接搜九江市就可以搜到,这个系列的还是不错的,非常适合用来训练,高三阶段还是
九江市2023年第二次高考模拟统一考试理科数学试卷答案
2023-03-25 15:02:05
小编这次收集整理的是九江市2023年第二次高考模拟统一考试的理科数学试卷答案,本试卷分选择题和非选择题,全卷满分150分,考试时间120分钟,感兴趣的可以来看看,检查一下自己做的对
2023江西高三3月大联考文科数学试题答案
2023-03-25 14:43:26
小编这次收集整理的是2023江西高三3月大联考的文科数学试题答案,本试卷满分150分,考试时间120分钟,这个系列的试卷还是非常不错的,站内直接搜江西高三就可以搜到理科数学试卷的,
2023江西高三3月大联考理科数学试题答案
2023-03-25 14:33:22
小编这次收集整理的是2023江西高三3月大联考的理科数学试题答案,这个系列的还是非常不错的,这次整合的是理科数学试卷,还有文科数学的,站内直接搜江西高三就可以搜到,还是非常方