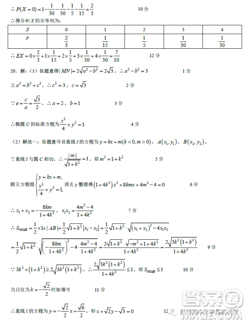
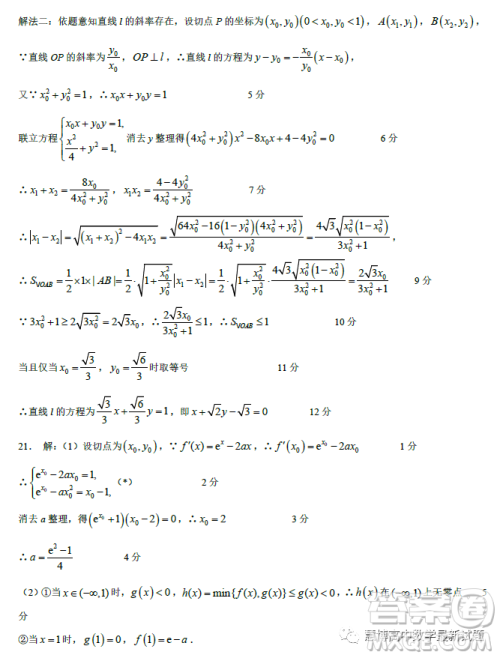
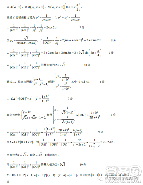
小编这次收集整理的是九江市2023年第二次高考模拟统一考试的理科数学试卷答案,本试卷分选择题和非选择题,全卷满分150分,考试时间120分钟,感兴趣的可以来看看,检查一下自己做的对不对!

答案如下,仅供参考!
















2023江西高三3月大联考文科数学试题答案
2023-03-25 14:43:26
小编这次收集整理的是2023江西高三3月大联考的文科数学试题答案,本试卷满分150分,考试时间120分钟,这个系列的试卷还是非常不错的,站内直接搜江西高三就可以搜到理科数学试卷的,
2023江西高三3月大联考理科数学试题答案
2023-03-25 14:33:22
小编这次收集整理的是2023江西高三3月大联考的理科数学试题答案,这个系列的还是非常不错的,这次整合的是理科数学试卷,还有文科数学的,站内直接搜江西高三就可以搜到,还是非常方
2023届湘考王湖南高三联考数学试题答案
2023-03-25 14:30:21
小编这次收集整理的是湘考王2023湖南省高三联考试题的参考答案,这个系列的还是非常不错的,这次的湖南联考出题的水准也还不错,想要练习的话可以来看看哦!2023届湘考王湖南高三联
2023届天一大联考安徽名校高三顶尖计划数学试题答案
2023-03-25 11:10:50
小编这次收集整理的是2023届天一大联考安徽名校高三顶尖计划数学试题答案,前面是试卷,后面是答案,这个是安徽地区的大联考,也是二模考试,对于当前学生的进度和学习能力也是一个综