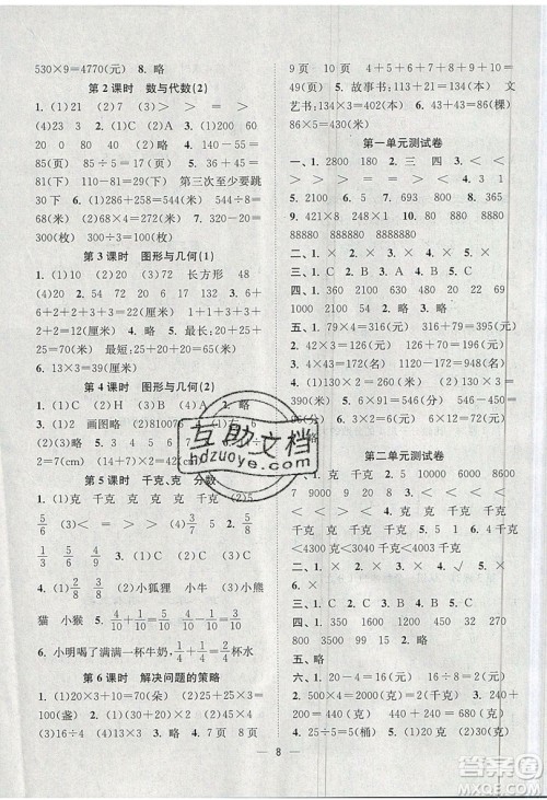
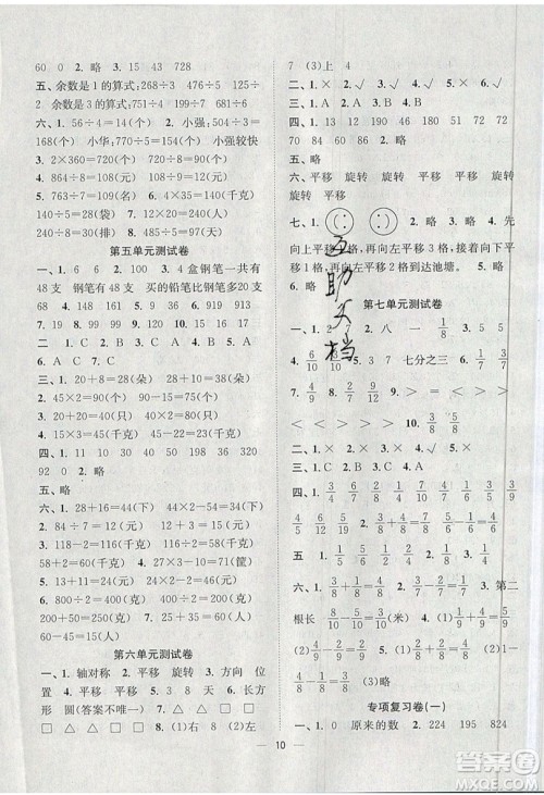
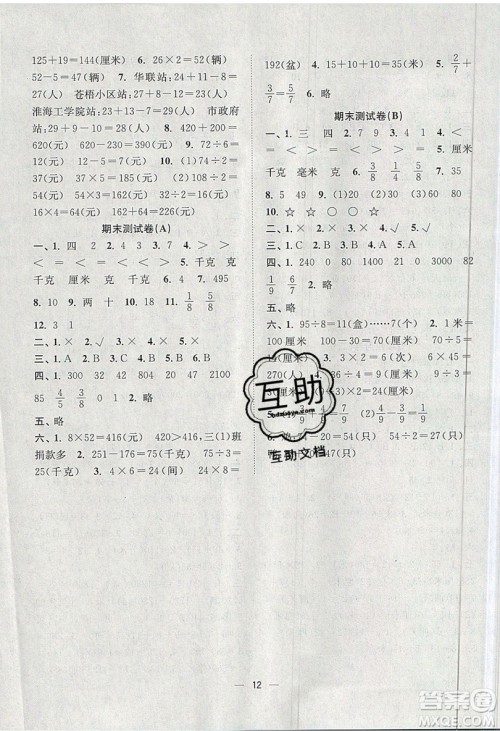
课时金练系列是江苏美术出版社出版,名师团队编写的课堂随练教材,这次小编整理了此系列三年级上册数学江苏版,使用此版本的同学快来围观!

ISBN编号:9787534445842,印次:2019年3月。












江苏凤凰美术出版社2019课时金练英语三年级上3A江苏版参考答案
2019-09-05 11:28:47
江苏凤凰美术出版社出版的课时金练英语三年级上3A江苏版,2019年秋季新版参考答案小编已经在这里啦,快来围观吧!江苏凤凰美术出版社2019课时金练英语三年级上3A江苏版参考答案IS
江苏凤凰美术出版社2019课时金练英语二年级上2A江苏版参考答案
2019-09-05 11:10:05
课时金练英语二年级上学期2A江苏版参考答案小编整理在这里了,这个是2019年的新版哦,江苏的朋友不要错过。江苏凤凰美术出版社2019课时金练英语二年级上2A江苏版参考答案ISBN编
2019年全国高中数学联赛山东预赛试题及答案
2019-09-05 11:08:21
山东的伙伴在全国高中数学联赛中考的怎么样呀!小编整理了刚刚出炉的山东省预赛答案,可以来看看哦2019年全国高中数学联赛山东预赛试题及答案还有更多的全国竞赛试题及答案尽在
江苏凤凰美术出版社2019课时金练数学二年级上江苏版参考答案
2019-09-05 11:02:23
课时金练数学二年级上江苏版的参考答案小编已经整理如下了,这个是江苏凤凰美术出版社出版的,值得信任。江苏凤凰美术出版社2019课时金练数学二年级上江苏版参考答案ISBN编号:97
课时金练系列答案