山东的伙伴在全国高中数学联赛中考的怎么样呀!小编整理了刚刚出炉的山东省预赛答案,可以来看看哦

还有更多的全国竞赛试题及答案尽在答案圈,感兴趣的伙伴可以来答案圈查看哦!



2019年全国高中数学联赛四川预赛试题及答案
2019-09-05 10:58:56
全国高中数学联赛四川预赛的试题和答案小编已经帮大家整理好,看看你考的怎么样2019年全国高中数学联赛四川预赛试题及答案还有更多的全国竞赛试题及答案尽在答案圈,感兴趣的伙
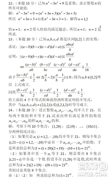
2019年全国高中数学联赛模拟一试题及参考答案
2019-09-05 10:42:28
这次小编整理了全国高中数学联赛的模拟试题答案,需要参考的伙伴可以来看看哦2019年全国高中数学联赛模拟一试题及参考答案还有更多的全国竞赛试题及答案尽在答案圈,感兴趣的伙