首页小学初中高中专题
当前位置:首页 > 高中答案网 > 高中三年级答案

2019年全国高中数学联赛四川预赛试题及答案

时间:2019-09-05 10:58:56    作者:答案圈
标签:
全国高中数学联赛

全国高中数学联赛四川预赛的试题和答案小编已经帮大家整理好,看看你考的怎么样DJT答案圈

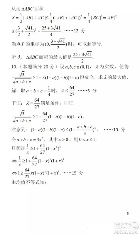
2019年全国高中数学联赛四川预赛试题及答案DJT答案圈

2019年全国高中数学联赛四川预赛试题及答案

还有更多的全国竞赛试题及答案尽在答案圈,感兴趣的伙伴可以来答案圈查看哦!DJT答案圈

2019年全国高中数学联赛四川预赛试题及答案DJT答案圈

2019年全国高中数学联赛四川预赛试题及答案DJT答案圈

2019年全国高中数学联赛四川预赛试题及答案DJT答案圈

2019年全国高中数学联赛四川预赛试题及答案DJT答案圈

2019年全国高中数学联赛四川预赛试题及答案DJT答案圈

2019年全国高中数学联赛四川预赛试题及答案DJT答案圈

2019年全国高中数学联赛四川预赛试题及答案DJT答案圈

查看更多答案
相关文章
2019年全国高中数学联赛模拟一试题及参考答案 2019-09-05 10:42:28

这次小编整理了全国高中数学联赛的模拟试题答案,需要参考的伙伴可以来看看哦2019年全国高中数学联赛模拟一试题及参考答案还有更多的全国竞赛试题及答案尽在答案圈,感兴趣的伙

专题推荐

2025年春顶尖课课练下册系列答案

2025黄冈小状元作业本下册答案

2025精彩练习就练这一本系列答案

2025金学典同步解析与测评学练考答案

2024年春一课一练创新练习下册系列答案

2024年高三联考试卷汇总

相关专题
课后作业答案
数学
语文
英语
历史
地理
政治
物理
化学
生物
其他
网友留言
最新更新
2025湘豫名校联考高三春季学期第三次模拟考试化学答案
高三模拟考试 2025高三模拟考试 2025高三模拟试卷答案 2025高三模拟考试答案 高三模拟试卷 高三模拟
2025湘豫名校联考高三春季学期第三次模拟考试物理答案
高三模拟考试 2025高三模拟考试 2025高三模拟试卷答案 2025高三模拟考试答案 高三模拟试卷 高三模拟
2025湘豫名校联考高三春季学期第三次模拟考试语文答案
高三模拟考试 2025高三模拟考试 2025高三模拟试卷答案 2025高三模拟考试答案 高三模拟试卷 高三模拟
2025届百师联盟高三冲刺卷四英语答案
高三模拟考试 2025高三模拟考试 2025高三模拟试卷答案 2025高三模拟考试答案 高三模拟试卷 高三模拟