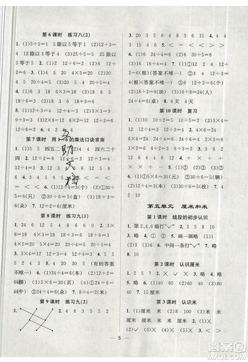
课时金练数学二年级上江苏版的参考答案小编已经整理如下了,这个是江苏凤凰美术出版社出版的,值得信任。

ISBN编号:9787534445859,2019年3月份重新印刷。












2019年全国高中数学联赛四川预赛试题及答案
2019-09-05 10:58:56
全国高中数学联赛四川预赛的试题和答案小编已经帮大家整理好,看看你考的怎么样2019年全国高中数学联赛四川预赛试题及答案还有更多的全国竞赛试题及答案尽在答案圈,感兴趣的伙
江苏凤凰美术出版社2019课时金练英语一年级上1A江苏版参考答案
2019-09-05 10:53:50
江苏凤凰美术出版社2019课时金练英语一年级上1A江苏版参考答案就在这里哦,使用苏教译林版教材的同学就往下滑吧!江苏凤凰美术出版社2019课时金练英语一年级上1A江苏版参考答案
2019新课程学习与测评同步学习数学九年级全一册人教版答案
2019-09-05 10:47:06
小编这次收集整理的是广西师范大学出版社出版的新课程学习与测评同步学习数学九年级全一册人教版的答案,这套教辅含金量还是不错的,很多广西地区的学校都在使用,一起来看看吧!20
江苏凤凰美术出版社2019课时金练数学一年级上江苏版参考答案
2019-09-05 10:45:01
江苏凤凰美术出版社2019课时金练数学一年级上江苏版参考答案小编正在整理中,这套书今年还是很热门的,朋友们可以对照查看一下。江苏凤凰美术出版社2019课时金练数学一年级上江
课时金练系列答案