每个家长都希望孩子成龙成凤,每一份荣誉都希望孩子可以有更多的光,奥数的流行给了太多人压力,但每一科的学习都有它的方法,你掌握了吗?

奥数就和奥运会一样,现在都成了好多学校以及学生向往的最高荣誉殿堂,考前的每一分钟都需要我们不断的努力拼搏,举一反三给你好的方法,答案圈给你检测的结果,来这里迈上学习的巅峰








































































不同的孩子,其实学习奥数的方式大不相同,有些孩子从小学一年级开始就跟着班课走,有些孩子低年级都是家长带着学,大一些再跟着班课走,还有些孩子年级比较高了,班课跟不上,选择1对1。2??前面这些都只是学习的方式,而家长还应该关注的是学习的内容,选择权威的教材和选择老师一样重要!比如,课内拓展,思维类的奥数可以选择举一反三,同步奥数等,如果为竞赛准备可以选择竞赛数学导引。一本系统体系化的教材会给到学习很大的帮助和指导。3??阶段化的学习目标也是学习中必不可少的环节,可以从三年级开始让孩子参加一些杯赛,作为检测和计划标准,同时,好多中高考自招的孩子都是从小学阶段奥数学习开始培养起来的。说不定,你会发现一个除了高考之外,更适合孩子的升学途径。
2018版优化设计单元测试卷三年级数学上册参考答案
2018-10-10 17:23:01
2018版优化设计单元测试卷三年级数学上册参考答案,小编收集在答案圈了,需要的学生可以随时查看2018版优化设计单元测试卷三年级数学上册参考答案本书参考答案小编收集完毕了,正
2018年渔夫阅读英语7七年级参考答案
2018-10-10 17:20:58
2018年快捷语文5+1组合阅读周周练七年级活页版参考答案,小编已经整理在答案圈,需要的随时来查阅2018年快捷语文5+1组合阅读周周练七年级活页版参考答案ISBN编号:978751980643
2018快捷语文小学生快乐阅读3合1一年级周周练参考答案
2018-10-10 17:14:15
2018快捷语文小学生快乐阅读3合1一年级周周练参考答案,小编已经整理在答案圈了,需要的来了解2018快捷语文小学生快乐阅读3合1一年级周周练参考答案ISBN编号:9787519806064快捷
2018快捷语文小学生快乐阅读3合1六年级周周练参考答案
2018-10-10 17:01:28
2018快捷语文小学生快乐阅读3合1六年级周周练参考答案,小编已经收集在答案圈了,需要的来答案圈了解2018快捷语文小学生快乐阅读3合1六年级周周练参考答案ISBN编号:97875123602
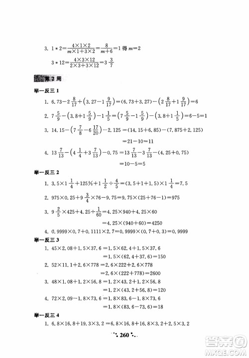
2018小学奥数举一反三答案