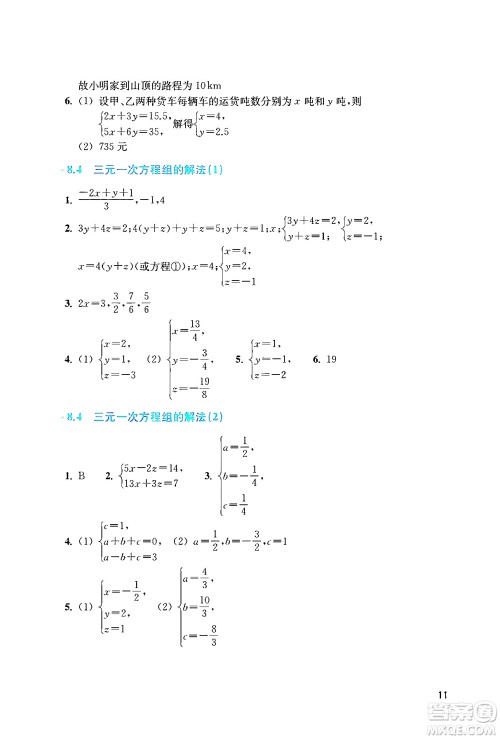
数学这门学科需要同学们多花时间,在课下要通过实操来回顾课堂上的知识点,提升成绩,今天小编为同学们整理了浙江教育出版社2024年春数学作业本七年级数学下册人教版答案,练习完的同学可以来答案圈核对一下答案。

答案如下,仅供参考:


















北京教育出版社2024新课标寒假乐园七年级数学通用版答案
2024-02-14 11:20:45
数学这门学科想要同学们多做练习,通过训练来拓展不同类型的题目,全面提升这门学科的成绩,今天小编为同学们整理了北京教育出版社2024新课标寒假乐园七年级数学通用版答案,练习完
甘肃少年儿童出版社2024快乐寒假课程衔接组合卷七年级数学北师大版答案
2024-02-10 11:05:45
数学这门学科需要同学们多花时间,通过实操来运用所学的知识点,提升数学成绩,今天小编为同学们整理了甘肃少年儿童出版社2024快乐寒假课程衔接组合卷七年级数学北师大版答案,练习
宁夏人民教育出版社2024经纶学霸寒假总动员七年级数学北师大版答案
2024-02-07 10:42:25
今天小编为同学们整理了宁夏人民教育出版社2024经纶学霸寒假总动员七年级数学北师大版答案,本练习将这学期所学的知识结合到练习当中,让同学们在假期可以通过练习来巩固知识,练
宁夏人民教育出版社2024经纶学霸寒假总动员七年级数学人教版答案
2024-02-07 08:54:20
数学这门学科需要同学们多做练习,通过实操来运用所学的知识,全面提升数学成绩,今天小编为同学们整理了宁夏人民教育出版社2024经纶学霸寒假总动员七年级数学人教版答案,练习完的