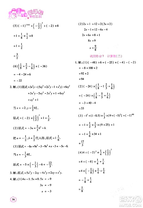
数学这门学科想要同学们多做练习,通过训练来拓展不同类型的题目,全面提升这门学科的成绩,今天小编为同学们整理了北京教育出版社2024新课标寒假乐园七年级数学通用版答案,练习完的同学们可以来答案圈核对一下答案。

答案如下,仅供参考:










北京教育出版社2024新课标寒假乐园九年级英语课标版答案
2024-02-14 11:04:11
进入九年级,同学们的压力不小,想要提升成绩同学们要利用好假期时间,对知识点进行巩固,今天小编为同学们整理了北京教育出版社2024新课标寒假乐园九年级英语课标版答案,练习完的同
北京教育出版社2024新课标寒假乐园八年级英语课标版答案
2024-02-14 09:52:52
英语这门学科在八年级难度不小,同学们在假期要多花时间,多记单词,对知识点进行巩固训练,今天小编为同学们整理了北京教育出版社2024新课标寒假乐园八年级英语课标版答案,练习完的
北京教育出版社2024新课标寒假乐园七年级英语通用版答案
2024-02-14 09:42:13
英语这门学科在初中难度不小,同学们要重视起来,在假期要多花时间,多做练习,来巩固知识,今天小编为同学们整理了北京教育出版社2024新课标寒假乐园七年级英语通用版答案,练习完的同
北京教育出版社2024新课标寒假乐园二年级语文通用版答案
2024-02-14 09:34:26
语文这门学科在二年级难度还不大,同学们可以通过练习的方式来检测这学期知识点的掌握程度,今天小编为同学们整理了北京教育出版社2024新课标寒假乐园二年级语文通用版答案,练习