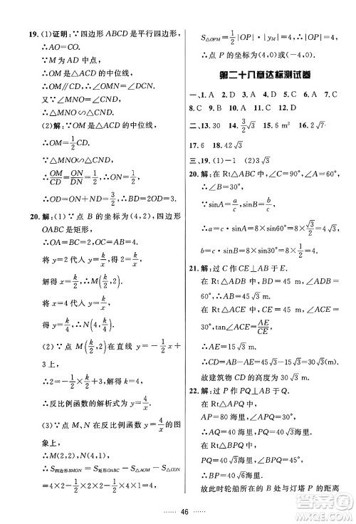
九年级各门学科难度都会增加,同学们时间也很紧张,想要取得高分可以在课下多做练习,提升成绩,今天小编为同学们整理了吉林教育出版社2024年春三维数字课堂九年级数学下册人教版答案,练习完的同学可以来答案圈核对一下答案。

答案如下,仅供参考:
































































吉林教育出版社2024年春三维数字课堂七年级数学下册人教版答案
2024-06-28 17:21:26
今天小编为同学们整理了吉林教育出版社2024年春三维数字课堂七年级数学下册人教版答案,本练习题型涵盖教学的重点难点,循序渐进,让同学们在实战中掌握所学的知识点,提升成绩,练习
吉林教育出版社2024年春三维数字课堂九年级英语下册人教版答案
2024-06-28 17:16:12
英语这门学科在九年级难度会有所增加,同学们要重视起来,通过训练来掌握好所学的内容,今天小编为同学们整理了吉林教育出版社2024年春三维数字课堂九年级英语下册人教版答案,练习
吉林教育出版社2024年春三维数字课堂七年级英语下册人教版答案
2024-06-28 16:50:10
英语这门学科在七年级难度不小,同学们要多记单词多做练习,掌握好所学的知识点,提升成绩,今天小编为同学们整理了吉林教育出版社2024年春三维数字课堂七年级英语下册人教版答案,练
吉林教育出版社2024年春三维数字课堂一年级语文下册人教版答案
2024-06-28 16:38:15
进入小学一年级,同学们要端正好学习态度,在课堂上要认真听讲,从现在开始打好基础,今天小编为同学们整理了吉林教育出版社2024年春三维数字课堂一年级语文下册人教版答案,练习完的